6  The Haunted DAG & The Causal Terror

Read this opening and cry:

It seems like the most newsworthy scientific studies are the least trustworthy. The more likely it is to kill you, if true, the less likely it is to be true. The more boring the topic, the more rigorous the results. How could this widely believed negative correlation exist? There doesn’t seem to be any reason for studies of topics that people care about to produce less reliable results. Maybe popular topics attract more and worse researchers, like flies drawn to the smell of honey?

Actually all that is necessary for such a negative correlation to arise is that peer reviewers care about both newsworthiness and trustworthiness. Whether it is grant review or journal review, if editors and reviewers care about both, then the act of selection itself is enough to make the most newsworthy studies the least trustworthy….

Strong selection induces a negative correlation among the criteria used in selection. Why? If the only way to cross the threshold is to score high, it is more common to score high on one item than on both. Therefore among funded proposals, the most newsworthy studies can actually have less than average trustworthiness (less than 0 in the figure). Similarly the most trustworthy studies can be less newsworthy than average.

Berkson’s paradox. But it is easier to remember if we call it the selection-distortion effect. Once you appreciate this effect, you’ll see it everywhere….

The selection-distortion effect can happen inside of a multiple regression, because the act of adding a predictor induces statistical selection within the model, a phenomenon that goes by the unhelpful name collider bias. This can mislead us into believing, for example, that there is a negative association between newsworthiness and trustworthiness in general, when in fact it is just a consequence of conditioning on some variable. This is both a deeply confusing fact and one that is important to understand in order to regress responsibly.

This chapter and the next are both about terrible things that can happen when we simply add variables to a regression, without a clear idea of a causal model. (McElreath, 2020, pp. 161–162, emphasis in the original)

6.0.0.1 Overthinking: Simulated science distortion

First let’s run the simulation.

library(tidyverse)

set.seed(1914)
n <- 200  # Number of grant proposals
p <- 0.1  # Proportion to select

# Uncorrelated newsworthiness and trustworthiness
d <- tibble(newsworthiness  = rnorm(n, mean = 0, sd = 1),
            trustworthiness = rnorm(n, mean = 0, sd = 1)) |> 
  # `total_score`
  mutate(total_score = newsworthiness + trustworthiness) |> 
  # Select top 10% of combined scores
  mutate(selected = ifelse(total_score >= quantile(total_score, 1 - p), TRUE, FALSE))

head(d)
# A tibble: 6 × 4
  newsworthiness trustworthiness total_score selected
           <dbl>           <dbl>       <dbl> <lgl>   
1         -0.379         -1.20        -1.58  FALSE   
2          0.130          0.504        0.634 FALSE   
3          0.334          0.532        0.866 FALSE   
4         -1.89          -0.594       -2.48  FALSE   
5          2.05           0.0672       2.12  TRUE    
6          2.54           1.02         3.56  TRUE    

Here’s the correlation among those cases for which selected == TRUE.

d |> 
  filter(selected == TRUE) |> 
  select(newsworthiness, trustworthiness) |> 
  cor()
                newsworthiness trustworthiness
newsworthiness       1.0000000      -0.7680083
trustworthiness     -0.7680083       1.0000000

For the plots in this chapter, we’ll take some aesthetic cues from Aki Vehtari’s great GitHub repo, Bayesian Data Analysis R Demos.

theme_set(theme_minimal())

Okay, let’s make Figure 6.1.

# We'll need this for the annotation
text <- tibble(
  newsworthiness  = c(2, 1), 
  trustworthiness = c(2.25, -2.5),
  selected        = c(TRUE, FALSE),
  label           = c("selected", "rejected"))

d |> 
  ggplot(aes(x = newsworthiness, y = trustworthiness, color = selected)) +
  geom_point(aes(shape = selected), alpha = 3/4) +
  geom_text(data = text,
            aes(label = label)) +
  geom_smooth(data = d |> filter(selected == TRUE),
              method = "lm", fullrange = T, se = F,
              color = "lightblue", linewidth = 1/2) +
  scale_x_continuous(limits = c(-3, 3.9), expand = c(0, 0)) +
  scale_color_manual(values = c("black", "lightblue")) +
  scale_shape_manual(values = c(1, 19)) +
  coord_cartesian(ylim = range(d$trustworthiness)) +
  theme(legend.position = "none")

Why might “the most newsworthy studies might be the least trustworthy?” The selection-distortion effect.

6.1 Multicollinearity

Multicollinearity means a very strong association between two or more predictor variables. The raw correlation isn’t what matters. Rather what matters is the association, conditional on the other variables in the model. The consequence of multicollinearity is that the posterior distribution will seem to suggest that none of the variables is reliably associated with the outcome, even if all of the variables are in reality strongly associated with the outcome.

This frustrating phenomenon arises from the details of how multiple regression works. In fact, there is nothing wrong with multicollinearity. The model will work fine for prediction. You will just be frustrated trying to understand it. The hope is that once you understand multicollinearity, you will better understand regression models in general. (p. 163, emphasis added)

For more on this topic, check out Jan VanHove’s interesting blog post, Collinearity isn’t a disease that needs curing.

6.1.1 Multicollinear legs

Let’s simulate some leg data.

n <- 100
set.seed(909)

d <- tibble(height   = rnorm(n, mean = 10, sd = 2),
            leg_prop = runif(n, min = 0.4, max = 0.5)) |> 
  mutate(leg_left  = leg_prop * height + rnorm(n, mean = 0, sd = 0.02),
         leg_right = leg_prop * height + rnorm(n, mean = 0, sd = 0.02))

As you might expect in real-life data, the leg_left and leg_right columns are highly correlated.

d |> 
  summarise(r = cor(leg_left, leg_right) |> round(digits = 4))
# A tibble: 1 × 1
      r
  <dbl>
1 1.000

Have you ever even seen a \(\rho = 0.9997\) correlation, before? Here it is in a plot.

d |>
  ggplot(aes(x = leg_left, y = leg_right)) +
  geom_point(alpha = 1/2, color = "forestgreen")

Load brms.

library(brms)

Here’s our attempt to predict height with both legs.

b6.1 <- brm(
  data = d, 
  family = gaussian,
  height ~ 1 + leg_left + leg_right,
  prior = c(prior(normal(10, 100), class = Intercept),
            prior(normal(2, 10), class = b),
            prior(exponential(1), class = sigma)),
  iter = 2000, warmup = 1000, chains = 4, cores = 4,
  seed = 6,
  file = "fits/b06.01")

Let’s inspect the damage.

print(b6.1)
 Family: gaussian 
  Links: mu = identity 
Formula: height ~ 1 + leg_left + leg_right 
   Data: d (Number of observations: 100) 
  Draws: 4 chains, each with iter = 2000; warmup = 1000; thin = 1;
         total post-warmup draws = 4000

Regression Coefficients:
          Estimate Est.Error l-95% CI u-95% CI Rhat Bulk_ESS Tail_ESS
Intercept     0.98      0.29     0.39     1.55 1.00     3651     3104
leg_left      0.33      2.52    -4.44     5.43 1.00     1651     1466
leg_right     1.66      2.52    -3.46     6.44 1.00     1651     1505

Further Distributional Parameters:
      Estimate Est.Error l-95% CI u-95% CI Rhat Bulk_ESS Tail_ESS
sigma     0.63      0.05     0.55     0.73 1.00     1990     1725

Draws were sampled using sampling(NUTS). For each parameter, Bulk_ESS
and Tail_ESS are effective sample size measures, and Rhat is the potential
scale reduction factor on split chains (at convergence, Rhat = 1).

That ‘Est.Error’ column isn’t looking too good. But it’s easy to miss that, which is why McElreath suggested “a graphical view of the [output] is more useful because it displays the posterior means and [intervals] in a way that allows us with a glance to see that something has gone wrong here” (p. 164).

Here’s our coefficient plot using brms::mcmc_plot() with a little help from bayesplot::color_scheme_set().

library(bayesplot)

color_scheme_set("orange")

mcmc_plot(b6.1, 
          type = "intervals", 
          prob = 0.5, 
          prob_outer = 0.95,
          point_est = "mean") +
  labs(title = "The coefficient plot for the two-leg model",
       subtitle = "Holy smokes; look at the widths of those betas!") +
  theme(axis.text.y = element_text(hjust = 0),
        panel.grid.minor = element_blank(),
        strip.text = element_text(hjust = 0)) 

Now you can use the brms::mcmc_plot() function without explicitly loading the bayesplot package. But loading bayesplot allows you to set the color scheme with color_scheme_set().

In the middle of page 164, McElreath suggested we might try this again with different seeds. This might be a good place to practice iteration. Our first step will be to make a custom function that will simulate new data of the same form as above and then immediately fit a model based on b6.1 to those new data. To speed up the process, we’ll use the update() function to avoid recompiling the model. In the final step, the function extracts the posterior draws with as_draws_df(), which is what the function returns. Our custom function, sim_fit_draws(), will take two arguments. The seed argument will allow us to keep the results reproducible by setting a seed for the data simulation. The n argument will allow us, should we wish, to change the sample size.

sim_fit_draws <- function(seed, n = 100) {
  
  # Set up the parameters
  n <- n
  set.seed(seed)
  
  # Simulate the new data
  d <- tibble(height   = rnorm(n, mean = 10, sd = 2),
              leg_prop = runif(n, min = 0.4, max = 0.5)) |> 
    mutate(leg_left  = leg_prop * height + rnorm(n, mean = 0, sd = 0.02),
           leg_right = leg_prop * height + rnorm(n, mean = 0, sd = 0.02))
  
  # Update b6.1 to the new data
  fit <- update(b6.1, newdata = d, seed = 6) 
  
  # Extract the posterior draws
  as_draws_df(fit)
}

Now use sim_fit_draws() to make our simulations which correspond to seed values 1:4. By nesting the seed values and the sim_fit_draws() function within purrr::map(), the results will be saved within our tibble, sim.

sim <- tibble(seed = 1:4) |> 
  mutate(post = map(.x = seed, .f = sim_fit_draws))

Take a look at what we did.

head(sim)
# A tibble: 4 × 2
   seed post                   
  <int> <list>                 
1     1 <draws_df [4,000 × 10]>
2     2 <draws_df [4,000 × 10]>
3     3 <draws_df [4,000 × 10]>
4     4 <draws_df [4,000 × 10]>

We have a tibble with four rows and two columns. Hopefully it’s unsurprising the first column shows our four seed values. The second column, post, might look odd. Each cell contains the as_draws_df() output for each iteration. That output is currently in a compressed format, often called “nested” in the tidyverse framework. To unpack the contents of those four nested data frames, you simply call unnest(sim, post). In the next code block, we’ll do that within the context of a larger work flow designed to plot the results of each in a faceted coefficient plot. For data of this kind of structure, the tidybayes::stat_pointinterval() function will be particularly useful.

library(tidybayes)

sim |> 
  unnest(post) |> 
  pivot_longer(b_Intercept:sigma, values_to = "posterior") |> 
  mutate(seed = factor(seed)) |> 
  
  ggplot(aes(x = posterior, y = seed)) +
  stat_pointinterval(.width = 0.95, color = "forestgreen") +
  scale_x_continuous(expand = expansion(mult = 0.2)) +
  facet_wrap(~ name, nrow = 1, scales = "free_x") +
  theme(panel.border = element_rect(color = "black", fill = "transparent"),
        panel.grid.minor = element_blank())

Though the results varied across iterations, the overall pattern was massive uncertainty in the two \(\beta\) parameters. You may be wondering,

Did the posterior approximation work correctly?

It did work correctly, and the posterior distribution here is the right answer to the question we asked. The problem is the question. Recall that a multiple linear regression answers the question: What is the value of knowing each predictor, after already knowing all of the other predictors? So in this case, the question becomes: What is the value of knowing each leg’s length, after already knowing the other leg’s length?

The answer to this weird question is equally weird, but perfectly logical. (p. 164, emphasis in the original)

To further answer this weird question, we might start making the panels from Figure 6.2. Starting with the left panel, this is perhaps the simplest way to plot the bivariate posterior of our two predictor coefficients.

pairs(b6.1, variable = variables(b6.1)[2:3])

If you’d like a nicer and more focused attempt, you might have to revert to the as_draws_df() function and a little ggplot2 code.

post <- as_draws_df(b6.1)
  
post |> 
  ggplot(aes(x = b_leg_left, y = b_leg_right)) +
  geom_point(color = "forestgreen", alpha = 1/10, size = 1/2)

While we’re at it, you can make a similar plot with the mcmc_scatter() function (see Gabry, 2022, Plotting MCMC draws using the bayesplot package).

color_scheme_set("green")

post |> 
  mcmc_scatter(pars = c("b_leg_left", "b_leg_right"),
               size = 1/2, 
               alpha = 1/10)

But wow, those coefficients look about as highly correlated as the predictors, just with the reversed sign.

post |> 
  summarise(rho = cor(b_leg_left, b_leg_right))
# A tibble: 1 × 1
     rho
   <dbl>
1 -1.000

On page 165, McElreath clarified that from the perspective of brms, this model may as well be

\[\begin{align*} y_i & \sim \operatorname{Normal}(\mu_i, \sigma) \\ \mu_i & = \alpha + (\beta_1 + \beta_2) x_i. \end{align*}\]

Accordingly, here’s the posterior of the sum of the two regression coefficients, Figure 6.2.b. We’ll use tidybayes::stat_halfeye() to both plot the density and mark off the posterior median and percentile-based 95% probability intervals at its base.

post |> 
  ggplot(aes(x = b_leg_left + b_leg_right)) +
  stat_halfeye(point_interval = median_qi, .width = 0.95, 
               fill = "steelblue") +
  scale_y_continuous(NULL, breaks = NULL) +
  labs(title = "Sum the multicollinear coefficients",
       subtitle = "Marked by the median and 95% PIs")

Now we fit the revised model after ditching one of the leg lengths.

b6.2 <- brm(
  data = d, 
  family = gaussian,
  height ~ 1 + leg_left,
  prior = c(prior(normal(10, 100), class = Intercept),
            prior(normal(2, 10), class = b),
            prior(exponential(1), class = sigma)),
  iter = 2000, warmup = 1000, chains = 4, cores = 4,
  seed = 6,
  file = "fits/b06.02")
print(b6.2)
 Family: gaussian 
  Links: mu = identity 
Formula: height ~ 1 + leg_left 
   Data: d (Number of observations: 100) 
  Draws: 4 chains, each with iter = 2000; warmup = 1000; thin = 1;
         total post-warmup draws = 4000

Regression Coefficients:
          Estimate Est.Error l-95% CI u-95% CI Rhat Bulk_ESS Tail_ESS
Intercept     1.00      0.29     0.42     1.58 1.00     3886     2706
leg_left      1.99      0.06     1.87     2.12 1.00     3947     2866

Further Distributional Parameters:
      Estimate Est.Error l-95% CI u-95% CI Rhat Bulk_ESS Tail_ESS
sigma     0.63      0.05     0.55     0.73 1.00     3843     2824

Draws were sampled using sampling(NUTS). For each parameter, Bulk_ESS
and Tail_ESS are effective sample size measures, and Rhat is the potential
scale reduction factor on split chains (at convergence, Rhat = 1).

That posterior \(\textit{SD}\) for leg_left looks much better. Compare this density to the one in Figure 6.2.b.

as_draws_df(b6.2) |> 
  ggplot(aes(x = b_leg_left)) +
  stat_halfeye(point_interval = median_qi, .width = 0.95, 
               fill = "steelblue") +
  scale_y_continuous(NULL, breaks = NULL) +
  labs(x = "only b_leg_left, this time",
       title = "Just one coefficient needed",
       subtitle = "Marked by the median and 95% PIs")

The basic lesson is only this: When two predictor variables are very strongly correlated (conditional on other variables in the model), including both in a model may lead to confusion. The posterior distribution isn’t wrong, in such cases. It’s telling you that the question you asked cannot be answered with these data. And that’s a great thing for a model to say, that it cannot answer your question. And if you are just interested in prediction, you’ll find that this leg model makes fine predictions. It just doesn’t make any claims about which leg is more important. (p. 166)

6.1.2 Multicollinear milk

Multicollinearity arises in real data, too. Load the milk data.

data(milk, package = "rethinking")
d <- milk
rm(milk)

Now use the handy rethinking::standardize() function to standardize our focal variables.

d <- d |> 
  mutate(k = rethinking::standardize(kcal.per.g),
         f = rethinking::standardize(perc.fat),
         l = rethinking::standardize(perc.lactose))

We’ll follow the text and fit the two univariable models, first. Note our use of the update() function.

# `k` regressed on `f`
b6.3 <- brm(
  data = d, 
  family = gaussian,
  k ~ 1 + f,
  prior = c(prior(normal(0, 0.2), class = Intercept),
            prior(normal(0, 0.5), class = b),
            prior(exponential(1), class = sigma)),
  iter = 2000, warmup = 1000, chains = 4, cores = 4,
  seed = 6,
  file = "fits/b06.03")

# `k` regressed on `l`
b6.4 <- update(
  b6.3,
  newdata = d,
  formula = k ~ 1 + l,
  seed = 6,
  file = "fits/b06.04")
posterior_summary(b6.3)[1:3, ] |> round(digits = 2)
            Estimate Est.Error  Q2.5 Q97.5
b_Intercept     0.00      0.08 -0.16  0.16
b_f             0.86      0.09  0.68  1.04
sigma           0.49      0.07  0.37  0.65
posterior_summary(b6.4)[1:3, ] |> round(digits = 2)
            Estimate Est.Error  Q2.5 Q97.5
b_Intercept     0.00      0.07 -0.14  0.14
b_l            -0.90      0.08 -1.04 -0.75
sigma           0.41      0.06  0.32  0.54

Now “watch what happens when we place both predictor variables in the same regression model” (p. 167).

b6.5 <- update(
  b6.4,
  newdata = d,
  formula = k ~ 1 + f + l,
  seed = 6,
  file = "fits/b06.05")

Now the \(\beta\)’s are smaller and less certain.

posterior_summary(b6.5)[1:3, ] |> round(digits = 2)
            Estimate Est.Error  Q2.5 Q97.5
b_Intercept     0.00      0.07 -0.14  0.15
b_f             0.25      0.20 -0.13  0.65
b_l            -0.67      0.20 -1.05 -0.27

Here’s a quick paris() plot.

d |> 
  select(kcal.per.g, perc.fat, perc.lactose) |> 
  pairs(col = "forestgreen")

Now here’s the custom GGally version.

library(GGally)

# Define a couple custom functions
my_diag <- function(data, mapping, ...) {
  ggplot(data = data, mapping = mapping) + 
    geom_density(color = "black", fill = "steelblue")
}

my_lower <- function(data, mapping, ...) {
  ggplot(data = data, mapping = mapping) + 
    geom_smooth(method = "lm", color = "orange", se = F) +
    geom_point(alpha = 0.8, color = "blue", size = 1/3)
  }

# Plug those custom functions into `ggpairs()`
ggpairs(data = d, columns = c(3:4, 6),
        upper = list(continuous = wrap("cor", color = "black", family = "sans")),
        diag = list(continuous = my_diag),
        lower = list(continuous = my_lower))

Our two predictor “variables are negatively correlated, and so strongly so that they are nearly redundant. Either helps in predicting kcal.per.g, but neither helps much once you already know the other” (p. 169, emphasis in the original). You can really see that on the lower two scatter plots. You’ll note the ggpairs() plot also returned the Pearson’s correlation coefficients with their \(p\)-value stars (\(^\star\)). Later on in the ebook, we’ll practice setting custom correlation functions which avoid displaying that dirty \(p\)-value stuff.

Anyway, making a DAG might help us make sense of this.

library(ggdag)

dag_coords <- tibble(
  name = c("L", "D", "F", "K"),
  x    = c(1, 2, 3, 2),
  y    = c(2, 2, 2, 1))

dagify(L ~ D,
       F ~ D,
       K ~ L + F,
       coords = dag_coords) |>
  
  ggplot(aes(x = x, y = y, xend = xend, yend = yend)) +
  geom_dag_point(aes(color = name == "D"),
                 alpha = 1/2, size = 6.5, show.legend = F) +
  geom_point(x = 2, y = 2, 
             color = "orange", shape = 1, size = 6.5, stroke = 1) +
  geom_dag_text(color = "black") +
  geom_dag_edges() +
  scale_x_continuous(NULL, breaks = NULL, expand = c(0.1, 0.1)) +
  scale_y_continuous(NULL, breaks = NULL, expand = c(0.1, 0.1)) +
  scale_color_manual(values = c("steelblue", "orange"))

The central tradeoff decides how dense, \(D\), the milk needs to be. We haven’t observed this variable, so it’s shown circled. Then fat, \(F\), and lactose, \(L\), are determined. Finally, the composition of \(F\) and \(L\) determines the kilocalories, \(K\). If we could measure \(D\), or had an evolutionary and economic model to predict it based upon other aspects of a species, that would be better than stumbling through regressions. (p. 167)

6.1.2.1 Rethinking: Identification guaranteed; comprehension up to you

If you come from a frequentist background, this may jar you, but

technically speaking, identifiability is not a concern for Bayesian models. The reason is that as long as the posterior distribution is proper–which just means that it integrates to 1–then all of the parameters are identified. But this technical fact doesn’t also mean that you can make sense of the posterior distribution. So it’s probably better to speak of weakly identified parameters in a Bayesian context. (pp. 169–170, emphasis in the original)

6.1.2.2 Overthinking: Simulating collinearity

First we’ll get the data and define the functions. You’ll note I’ve defined my sim_coll() a little differently from sim.coll() in the text. I’ve omitted rep.sim.coll() as an independent function altogether, but computed similar summary information with the summarise() code at the bottom of the block.

# Define a custom function
sim_coll <- function(seed, rho) {
  
  # Simulate the data
  set.seed(seed)
  
  d <- d |> 
    mutate(x = rnorm(n(), 
                     mean = perc.fat * rho,
                     sd = sqrt((1 - rho^2) * var(perc.fat))))
    
  # Fit an OLS model
  m <- lm(kcal.per.g ~ perc.fat + x, data = d)
  
  # Extract the parameter SD
  sqrt(diag(vcov(m)))[2]
}

# How many simulations per `rho`-value would you like?
n_seed <- 100
# How many `rho`-values from 0 to 0.99 would you like to evaluate the process over?
n_rho <- 30

d <- crossing(seed = 1:n_seed,
              rho  = seq(from = 0, to = 0.99, length.out = n_rho))  |> 
  mutate(parameter_sd = purrr::map2_dbl(seed, rho, sim_coll)) |> 
  group_by(rho) |> 
  # We'll `summarise()` our output by the mean and 95% intervals
  summarise(mean = mean(parameter_sd),
            ll   = quantile(parameter_sd, prob = 0.025),
            ul   = quantile(parameter_sd, prob = 0.975))

We’ve added 95% interval bands to our version of Figure 5.10.

d |> 
  ggplot(aes(x = rho, y = mean)) +
  geom_smooth(aes(ymin = ll, ymax = ul),
              stat = "identity",
              alpha = 1/3, color = "orange", fill = "orange", linewidth = 2/3) +
  labs(x = expression(rho),
       y = "parameter SD") +
  coord_cartesian(ylim = c(0, 0.0072))

6.2 Post-treatment bias

It helped me understand the next example by mapping out the sequence of events McElreath described in the second paragraph:

  • seed and sprout plants
  • measure heights
  • apply different antifungal soil treatments (i.e., the experimental manipulation)
  • measure (a) the heights and (b) the presence of fungus

Based on the design, let’s simulate our data.

# How many plants would you like?
n <- 100

set.seed(71)
d <- tibble(h0        = rnorm(n, mean = 10, sd = 2), 
            treatment = rep(0:1, each = n / 2),
            fungus    = rbinom(n, size = 1, prob = 0.5 - treatment * 0.4),
            h1        = h0 + rnorm(n, mean = 5 - 3 * fungus, sd = 1))

We’ll use head() to peek at the data.

d |>
  head()
# A tibble: 6 × 4
     h0 treatment fungus    h1
  <dbl>     <int>  <int> <dbl>
1  9.14         0      0  14.3
2  9.11         0      0  15.6
3  9.04         0      0  14.4
4 10.8          0      0  15.8
5  9.16         0      1  11.5
6  7.63         0      0  11.1

And here’s a quick summary with tidybayes::mean_qi().

d |> 
  pivot_longer(everything()) |> 
  group_by(name) |> 
  mean_qi(.width = 0.89) |> 
  mutate_if(is.double, round, digits = 2)
# A tibble: 4 × 7
  name      value .lower .upper .width .point .interval
  <chr>     <dbl>  <dbl>  <dbl>  <dbl> <chr>  <chr>    
1 fungus     0.23   0       1     0.89 mean   qi       
2 h0         9.96   6.57   13.1   0.89 mean   qi       
3 h1        14.4   10.6    17.9   0.89 mean   qi       
4 treatment  0.5    0       1     0.89 mean   qi       

If you want to make those cute mini histograms, go back and check out our custom histospark() code from Chapter 4.

6.2.1 A prior is born

Let’s take a look at the \(p \sim \operatorname{Log-Normal}(0, 0.25)\) prior distribution.

set.seed(6)

# Simulate
sim_p <- tibble(sim_p = rlnorm(1e4, meanlog = 0, sdlog = 0.25)) 

# Wrangle
sim_p |> 
  mutate(`exp(sim_p)` = exp(sim_p)) |>
  pivot_longer(everything()) |> 
  
  # Plot
  ggplot(aes(x = value)) +
  geom_density(fill = "steelblue") +
  scale_x_continuous(breaks = c(0, 0.5, 1, 1.5, 2, 3, 5)) +
  scale_y_continuous(NULL, breaks = NULL) +
  coord_cartesian(xlim = c(0, 6)) +
  facet_wrap(~ name, scale = "free_y", ncol = 1) +
  theme(panel.grid.minor.x = element_blank())

Summarize.

sim_p |> 
  mutate(`exp(sim_p)` = exp(sim_p)) |>
  pivot_longer(everything()) |>
  group_by(name) |> 
  mean_qi(.width = 0.89) |> 
  mutate_if(is.double, round, digits = 2)
# A tibble: 2 × 7
  name       value .lower .upper .width .point .interval
  <chr>      <dbl>  <dbl>  <dbl>  <dbl> <chr>  <chr>    
1 exp(sim_p)  2.92   1.96   4.49   0.89 mean   qi       
2 sim_p       1.03   0.67   1.5    0.89 mean   qi       

“This prior expects anything from 40% shrinkage up to 50% growth” (p. 172). So then, our initial statistical model will follow the form

\[\begin{align*} h_{1i} & \sim \operatorname{Normal}(\mu_i, \sigma) \\ \mu_i & = h_{0i} \times p \\ p & \sim \operatorname{Log-Normal}(0, 0.25) \\ \sigma & \sim \operatorname{Exponential}(1). \end{align*}\]

Let’s fit that model.

b6.6 <- brm(
  data = d, 
  family = gaussian,
  h1 ~ 0 + h0,
  prior = c(prior(lognormal(0, 0.25), class = b, lb = 0),
            prior(exponential(1), class = sigma)),
  iter = 2000, warmup = 1000, chains = 4, cores = 4,
  seed = 6,
  file = "fits/b06.06")

Note our use of the lb argument to set the lower bound for the prior on \(p\). Anyway, behold the summary.

print(b6.6)
 Family: gaussian 
  Links: mu = identity 
Formula: h1 ~ 0 + h0 
   Data: d (Number of observations: 100) 
  Draws: 4 chains, each with iter = 2000; warmup = 1000; thin = 1;
         total post-warmup draws = 4000

Regression Coefficients:
   Estimate Est.Error l-95% CI u-95% CI Rhat Bulk_ESS Tail_ESS
h0     1.43      0.02     1.39     1.46 1.00     3641     2513

Further Distributional Parameters:
      Estimate Est.Error l-95% CI u-95% CI Rhat Bulk_ESS Tail_ESS
sigma     1.82      0.13     1.60     2.09 1.00     2927     2094

Draws were sampled using sampling(NUTS). For each parameter, Bulk_ESS
and Tail_ESS are effective sample size measures, and Rhat is the potential
scale reduction factor on split chains (at convergence, Rhat = 1).

So then, the expectation is an increase of about 43 percent relative to \(h_0\). But this isn’t the best model. We’re leaving important predictors on the table. Our updated model follows the form

\[\begin{align*} h_{1i} & \sim \operatorname{Normal}(\mu_i, \sigma) \\ \mu_i & = h_{0,i} \times p \\ p & = \alpha + \beta_1 \text{treatment}_i + \beta_2 \text{fungus}_i \\ \alpha & \sim \operatorname{Log-Normal}(0, 0.25) \\ \beta_1 & \sim \operatorname{Normal}(0, 0.5) \\ \beta_2 & \sim \operatorname{Normal}(0, 0.5) \\ \sigma & \sim \operatorname{Exponential}(1). \end{align*}\]

That is, the “proportion of growth \(p\) is now a function of the predictor variables” (p. 172). Although we will fit the equivalent of McElreath’s model in brms, I’m not aware that we can translate it directly into conventional brms syntax. But take a look at the critical two lines from above:

\[\begin{align*} \mu_i & = h_{0,i} \times p \\ p & = \alpha + \beta_1 \text{treatment}_i + \beta_2 \text{fungus}_i. \\ \end{align*}\]

With just a little algebra, we can re-express that as

\[\mu_i = h_{0i} \times (\alpha + \beta_1 \text{treatment}_i + \beta_2 \text{fungus}_i).\]

With brms, we fit models like that using the non-linear syntax (Bürkner, 2022), which we briefly introduced in Section 4.4.2.1 and Section 5.3.2. Yes friends, it’s now time we discuss the non-linear brms syntax in detail. Bur first, here’s what it looks like for b6.7.

b6.7 <- brm(
  data = d, 
  family = gaussian,
  bf(h1 ~ h0 * (a + t * treatment + f * fungus),
     a + t + f ~ 1,
     nl = TRUE),
  prior = c(prior(lognormal(0, 0.2), nlpar = a, lb = 0),
            prior(normal(0, 0.5), nlpar = t),
            prior(normal(0, 0.5), nlpar = f),
            prior(exponential(1), class = sigma)),
  iter = 2000, warmup = 1000, chains = 4, cores = 4,
  seed = 6,
  file = "fits/b06.07")

To explain what’s going on with our formulasyntax, it’s probably best to quote Bürkner’s (2022) vignette at length:

When looking at the above code, the first thing that becomes obvious is that we changed the formula syntax to display the non-linear formula including predictors (i.e., [h0, treatment, and fungus]) and parameters (i.e., [a, t, and f]) wrapped in a call to [the bf() function]. This stands in contrast to classical R formulas, where only predictors are given and parameters are implicit. The argument [a + t + f ~ 1] serves two purposes. First, it provides information, which variables in formula are parameters, and second, it specifies the linear predictor terms for each parameter. In fact, we should think of non-linear parameters as placeholders for linear predictor terms rather than as parameters themselves (see also the following examples). In the present case, we have no further variables to predict [a, t, and f] and thus we just fit intercepts that represent our estimates of [\(\alpha\), \(t\), and \(f\)]. The formula [a + t + f ~ 1] is a short form of[a ~ 1, t ~ 1, f ~ 1] that can be used if multiple non-linear parameters share the same formula. Setting nl = TRUE tells brms that the formula should be treated as non-linear.

In contrast to generalized linear models, priors on population-level parameters (i.e., ‘fixed effects’) are often mandatory to identify a non-linear model. Thus, brms requires the user to explicitly specify these priors. In the present example, we used a [lognormal(0, 0.2) prior on (the population-level intercept of) a, while we used a normal(0, 0.5) prior on both (population-level intercepts of) t and f]. Setting priors is a non-trivial task in all kinds of models, especially in non-linear models, so you should always invest some time to think of appropriate priors. Quite often, you may be forced to change your priors after fitting a non-linear model for the first time, when you observe different MCMC chains converging to different posterior regions. This is a clear sign of an identification problem and one solution is to set stronger (i.e., more narrow) priors. (emphasis in the original)

Let’s see what we’ve done.

print(b6.7)
 Family: gaussian 
  Links: mu = identity 
Formula: h1 ~ h0 * (a + t * treatment + f * fungus) 
         a ~ 1
         t ~ 1
         f ~ 1
   Data: d (Number of observations: 100) 
  Draws: 4 chains, each with iter = 2000; warmup = 1000; thin = 1;
         total post-warmup draws = 4000

Regression Coefficients:
            Estimate Est.Error l-95% CI u-95% CI Rhat Bulk_ESS Tail_ESS
a_Intercept     1.48      0.03     1.43     1.53 1.00     1796     2125
t_Intercept     0.00      0.03    -0.06     0.06 1.00     1944     2242
f_Intercept    -0.27      0.04    -0.34    -0.19 1.00     2231     2540

Further Distributional Parameters:
      Estimate Est.Error l-95% CI u-95% CI Rhat Bulk_ESS Tail_ESS
sigma     1.45      0.11     1.26     1.67 1.00     2552     2377

Draws were sampled using sampling(NUTS). For each parameter, Bulk_ESS
and Tail_ESS are effective sample size measures, and Rhat is the potential
scale reduction factor on split chains (at convergence, Rhat = 1).

All in all, it looks like we did a good job matching up McElreath’s results. The posterior doesn’t, however, match up well with the way we generated the data…

6.2.2 Blocked by consequence

To measure the treatment effect properly, we should omit fungus from the model. This leaves us with the equation

\[\begin{align*} h_{1i} & \sim \operatorname{Normal}(\mu_i, \sigma) \\ \mu_i & = h_{0i} \times (\alpha + \beta_1 \text{treatment}_i) \\ \alpha & \sim \operatorname{Log-Normal}(0, 0.25) \\ \beta_1 & \sim \operatorname{Normal}(0, 0.5) \\ \sigma & \sim \operatorname{Exponential}(1). \end{align*}\]

Fit this model with the non-linear syntax, too.

b6.8 <- brm(
  data = d,
  family = gaussian,
  bf(h1 ~ h0 * (a + t * treatment),
     a + t ~ 1,
     nl = TRUE),
  prior = c(prior(lognormal(0, 0.2), nlpar = a, lb = 0),
            prior(normal(0, 0.5), nlpar = t),
            prior(exponential(1), class = sigma)),
  iter = 2000, warmup = 1000, chains = 4, cores = 4,
  seed = 6,
  file = "fits/b06.08")

Did we do better?

print(b6.8)
 Family: gaussian 
  Links: mu = identity 
Formula: h1 ~ h0 * (a + t * treatment) 
         a ~ 1
         t ~ 1
   Data: d (Number of observations: 100) 
  Draws: 4 chains, each with iter = 2000; warmup = 1000; thin = 1;
         total post-warmup draws = 4000

Regression Coefficients:
            Estimate Est.Error l-95% CI u-95% CI Rhat Bulk_ESS Tail_ESS
a_Intercept     1.38      0.03     1.33     1.43 1.00     2004     2254
t_Intercept     0.09      0.04     0.02     0.15 1.00     2087     2337

Further Distributional Parameters:
      Estimate Est.Error l-95% CI u-95% CI Rhat Bulk_ESS Tail_ESS
sigma     1.79      0.13     1.56     2.06 1.00     2234     2394

Draws were sampled using sampling(NUTS). For each parameter, Bulk_ESS
and Tail_ESS are effective sample size measures, and Rhat is the potential
scale reduction factor on split chains (at convergence, Rhat = 1).

Yes, now we have a positive treatment effect.

6.2.3 Fungus and \(d\)-separation

Let’s make a DAG.

# Define our coordinates
dag_coords <- tibble(
  name = c("H0", "T", "F", "H1"),
  x    = c(1, 5, 4, 3),
  y    = c(2, 2, 1.5, 1))

# Save our DAG
dag <- dagify(
  F ~ T,
  H1 ~ H0 + F,
  coords = dag_coords)

# Plot 
dag |>
  ggplot(aes(x = x, y = y, xend = xend, yend = yend)) +
  geom_dag_point(alpha = 1/2, color = "steelblue", size = 6.5) +
  geom_dag_text(color = "black") +
  geom_dag_edges() + 
  theme_dag()

We’ll be making a lot of simple DAGs following this format over this chapter. To streamline out plotting code, let’s make a custom plotting function. I’ll call it gg_simple_dag().

gg_simple_dag <- function(d) {
  d |> 
    ggplot(aes(x = x, y = y, xend = xend, yend = yend)) +
    geom_dag_point(alpha = 1/2, color = "steelblue", size = 6.5) +
    geom_dag_text(color = "black") +
    geom_dag_edges() + 
    theme_dag()
}

# Try it out!
dag |> 
  gg_simple_dag()

Anyway, the DAG clarifies

that learning the treatment tells us nothing about the outcome, once we know the fungus status.

An even more DAG way to say this is that conditioning on \(F\) induces d-separation. The “d” stands for directional. D-separation means that some variables on a directed graph are independent of others. There is no path connecting them. In this case, \(H_1\) is d-separated from \(T\), but only when we condition on \(F\). Conditioning on \(F\) effectively blocks the directed path \(T \rightarrow F \rightarrow H_1\), making \(T\) and \(H_1\) independent (d-separated). (p. 174, emphasis in the original)

Note that our ggdag object, dag, will also work with the dagitty::dseparated() function.

library(dagitty)

dag |> 
  dseparated("T", "H1")
[1] FALSE
dag |> 
  dseparated("T", "H1", "F")
[1] TRUE

The descriptively-named dagitty::mpliedConditionalIndependencies() function will work, too.

impliedConditionalIndependencies(dag)
F _||_ H0
H0 _||_ T
H1 _||_ T | F

Now consider a DAG of a different kind of causal structure.

# Define our coordinates
dag_coords <- tibble(
  name = c("H0", "H1", "M", "F", "T"),
  x    = c(1, 2, 2.5, 3, 4),
  y    = c(2, 2, 1, 2, 2))

# Save our DAG
dag <- dagify(
  F ~ M + T,
  H1 ~ H0 + M,
  coords = dag_coords)

# Plot 
dag |>
  ggplot(aes(x = x, y = y, xend = xend, yend = yend)) +
  geom_dag_point(aes(color = name == "M"),
                 alpha = 1/2, size = 6.5, show.legend = F) +
  geom_point(x = 2.5, y = 1, 
             color = "orange", shape = 1, size = 6.5, stroke = 1) +
  geom_dag_text(color = "black") +
  geom_dag_edges() + 
  scale_color_manual(values = c("steelblue", "orange")) +
  theme_dag()

Our custom gg_simple_dag() was a little too brittle to accommodate DAGs that mark of unobserved variables. Since we’ll be making a few more DAGs of this kind, we’ll make one more custom plotting function. We’ll call this one gg_fancy_dag().

gg_fancy_dag <- function(d, x = 1, y = 1, circle = "U") {
  d |> 
    ggplot(aes(x = x, y = y, xend = xend, yend = yend)) +
    geom_dag_point(aes(color = name == circle),
                   alpha = 1/2, size = 6.5, show.legend = F) +
    geom_point(x = x, y = y, 
               color = "orange", shape = 1, size = 6.5, stroke = 1) +
    geom_dag_text(color = "black") +
    geom_dag_edges() + 
    scale_color_manual(values = c("steelblue", "orange")) +
    theme_dag()
}

# Check it out
dag |> 
  gg_fancy_dag(x = 2.5, y = 1, circle = "M")

Based on McElreath’s R code 6.20, here we simulate some data based on the new DAG.

set.seed(71)
n <- 1000

d2 <- tibble(
  h0        = rnorm(n, mean = 10, sd = 2),
  treatment = rep(0:1, each = n / 2),
  m         = rbinom(n, size = 1, prob = 0.5),
  fungus    = rbinom(n, size = 1, prob = 0.5 - treatment * 0.4 + 0.4 * m),
  h1        = h0 + rnorm(n, mean = 5 + 3 * m, sd = 1))

head(d2)
# A tibble: 6 × 5
     h0 treatment     m fungus    h1
  <dbl>     <int> <int>  <int> <dbl>
1  9.14         0     0      0  14.8
2  9.11         0     0      0  15.3
3  9.04         0     1      1  16.4
4 10.8          0     1      1  19.1
5  9.16         0     1      1  17.2
6  7.63         0     0      0  13.4

Use update() to refit b6.7 and b6.8 to the new data.

b6.7b <- update(
  b6.7,
  newdata = d2,
  seed = 6,
  file = "fits/b06.07b")

b6.8b <- update(
  b6.8,
  newdata = d2,
  seed = 6,
  file = "fits/b06.08b")

Check the results.

posterior_summary(b6.7b)[1:4, ] |> round(digits = 2)
              Estimate Est.Error Q2.5 Q97.5
b_a_Intercept     1.52      0.01 1.50  1.55
b_t_Intercept     0.05      0.01 0.02  0.08
b_f_Intercept     0.14      0.01 0.12  0.17
sigma             2.11      0.05 2.02  2.20
posterior_summary(b6.8b)[1:3, ] |> round(digits = 2)
              Estimate Est.Error  Q2.5 Q97.5
b_a_Intercept     1.62      0.01  1.61  1.64
b_t_Intercept    -0.01      0.01 -0.04  0.02
sigma             2.21      0.05  2.12  2.31

“Including fungus again confounds inference about the treatment, this time by making it seem like it helped the plants, even though it had no effect” (p. 175).

6.2.3.1 Rethinking: Model selection doesn’t help

In the next chapter, you’ll learn about model selection using information criteria. Like other model comparison and selection schemes, these criteria help in contrasting and choosing model structure. But such approaches are no help in the example presented just above, since the model that includes fungus both fits the sample better and would make better out-of-sample predictions. Model [b6.7] misleads because it asks the wrong question, not because it would make poor predictions. As argued in Chapter 1, prediction and causal inference are just not the same task. No statistical procedure can substitute for scientific knowledge and attention to it. We need multiple models because they help us understand causal paths, not just so we can choose one or another for prediction. (p. 175)

Brutal.

6.3 Collider bias

Make the collider bias DAG of the trustworthiness/newsworthiness example.

dag_coords <- tibble(
  name = c("T", "S", "N"),
  x    = 1:3,
  y    = 1)

dagify(S ~ T + N,
       coords = dag_coords) |>
  gg_simple_dag()

The fact that two arrows enter S means it is a collider. The core concept is easy to understand: When you condition on a collider, it creates statistical–but not necessarily causal–associations among its causes. In this case, once you learn that a proposal has been selected (\(S\)), then learning its trustworthiness (\(T\)) also provides information about its newsworthiness (\(N\)). Why? Because if, for example, a selected proposal has low trustworthiness, then it must have high newsworthiness. Otherwise it wouldn’t have been funded. The same works in reverse: If a proposal has low newsworthiness, we’d infer that it must have higher than average trustworthiness. Otherwise it would not have been selected for funding. (p. 176. emphasis in the original)

6.3.1 Collider of false sorrow

All it takes is a single mutate() line in the dagify() function to amend our previous DAG.

dagify(M ~ H + A,
       coords = dag_coords |>
         mutate(name = c("H", "M", "A"))) |>
  gg_simple_dag()

In this made-up example,

happiness (\(H\)) and age (\(A\)) both cause marriage (\(M\)). Marriage is therefore a collider. Even though there is no causal association between happiness and age, if we condition on marriage–which means here, if we include it as a predictor in a regression–then it will induce a statistical association between age and happiness. And this can mislead us to think that happiness changes with age, when in fact it is constant.

To convince you of this, let’s do another simulation. (pp. 176–177)

McElreath simulated the data for this section using his custom rethinking::sim_happiness() function. If you’d like to see the guts of the function, execute rethinking::sim_happiness. Our approach will be to simulate the data from the ground up. The workflow to follow is based on help from the great Randall Pruim; I was initially stumped and he lent a helping hand. The first step is to make a simple new_borns() function, which returns a tibble with n unmarried one-year-old’s who have different levels of happiness. We’ll set the default for n at 20.

new_borns <- function(n = 20) {
  tibble(a = 1,                                       # 1 year old
         m = 0,                                       # Not married
         h = seq(from = -2, to = 2, length.out = n))  # Range of happiness scores
}

Here’s how it works.

new_borns()
# A tibble: 20 × 3
       a     m      h
   <dbl> <dbl>  <dbl>
 1     1     0 -2    
 2     1     0 -1.79 
 3     1     0 -1.58 
 4     1     0 -1.37 
 5     1     0 -1.16 
 6     1     0 -0.947
 7     1     0 -0.737
 8     1     0 -0.526
 9     1     0 -0.316
10     1     0 -0.105
11     1     0  0.105
12     1     0  0.316
13     1     0  0.526
14     1     0  0.737
15     1     0  0.947
16     1     0  1.16 
17     1     0  1.37 
18     1     0  1.58 
19     1     0  1.79 
20     1     0  2    

The second step is to make another custom function, update_population(), which takes the input from new_borns(). This function will age up the simulated one-year-old’s from new_borns(), add another cohort of new_borns(), and append the cohorts. As you iterate, the initial cohort of new_borns() will eventually hit the age of 18, which is also the age they’re first eligible to marry (aom = 18). At that age and up, the happier people are more likely to get married than the less happy folks. You’ll also see that our simulation follows McElreath’s in that we remove people from the population after the age of 65. 🤷

update_population <- function(pop, n_births = 20, aom = 18, max_age = 65) {
  pop |>
    mutate(a = a + 1,  # Everyone gets one year older
           # Some people get married
           m = ifelse(m >= 1, 1, (a >= aom) * rbinom(n(), 1, rethinking::inv_logit(h - 4)))) |>
    filter(a <= max_age) |>         # Old people die
    bind_rows(new_borns(n_births))  # New people are born
}

Here’s what it looks like if we start with an initial new_borns() and pump them into update_population().

new_borns() |> 
  update_population()
# A tibble: 40 × 3
       a     m      h
   <dbl> <dbl>  <dbl>
 1     2     0 -2    
 2     2     0 -1.79 
 3     2     0 -1.58 
 4     2     0 -1.37 
 5     2     0 -1.16 
 6     2     0 -0.947
 7     2     0 -0.737
 8     2     0 -0.526
 9     2     0 -0.316
10     2     0 -0.105
# ℹ 30 more rows

For our final step, we run the population simulation for 1,000 years. On my 2-year-old laptop, this took less than a minute.

# This was McElreath's seed
set.seed(1977)

# Year 1
d <- new_borns(n = 20)

# Years 2 through 1000
for(i in 2:1000) {
  d <- update_population(d, n_births = 20, aom = 18, max_age = 65)
}

# Now `rename()`
d <- d |> 
  rename(age = a, married = m, happiness = h)

# Take a look
glimpse(d)
Rows: 1,300
Columns: 3
$ age       <dbl> 65, 65, 65, 65, 65, 65, 65, 65, 65, 65, 65, 65, 65, 65, 65, 65, 65, 65, 65, 65, 64, 64, 64, 64, 64, 64, 64, 64…
$ married   <dbl> 0, 0, 0, 1, 1, 0, 0, 0, 1, 1, 1, 1, 1, 1, 1, 1, 0, 1, 1, 1, 0, 0, 1, 1, 0, 0, 1, 1, 1, 1, 1, 1, 0, 0, 1, 1, 1,…
$ happiness <dbl> -2.0000000, -1.7894737, -1.5789474, -1.3684211, -1.1578947, -0.9473684, -0.7368421, -0.5263158, -0.3157895, -0…

Summarize the variables.

d |> 
  pivot_longer(everything()) |> 
  group_by(name) |> 
  mean_qi(value) |> 
  mutate_if(is.double, round, digits = 2)
# A tibble: 3 × 7
  name      value .lower .upper .width .point .interval
  <chr>     <dbl>  <dbl>  <dbl>  <dbl> <chr>  <chr>    
1 age        33        2     64   0.95 mean   qi       
2 happiness   0       -2      2   0.95 mean   qi       
3 married     0.3      0      1   0.95 mean   qi       

Here’s our version of Figure 6.4.

d |> 
  mutate(married = factor(married, labels = c("unmarried", "married"))) |> 
  
  ggplot(aes(x = age, y = happiness, color = married)) +
  geom_point(size = 1.75) +
  scale_color_manual(NULL, values = c("grey85", "forestgreen")) +
  scale_x_continuous(expand = c(0.015, 0.015)) +
  theme(panel.grid = element_blank())

Here’s the likelihood for the simple Gaussian multivariable model predicting happiness:

\[\begin{align*} \text{happiness}_i & \sim \operatorname{Normal}(\mu_i, \sigma) \\ \mu_i & = \alpha_{\text{married} [i]} + \beta_1 \text{age}_i ,\\ \end{align*}\]

where \(\text{married}[i]\) is the marriage status of individual \(i\). Here we make d2, the subset of d containing only those 18 and up. We then make a new age variable, a, which is scaled such that \(18 = 0\), \(65 = 1\), and so on.

d2 <- d |> 
  filter(age > 17) |> 
  mutate(a = (age - 18) / (65 - 18))

head(d2)
# A tibble: 6 × 4
    age married happiness     a
  <dbl>   <dbl>     <dbl> <dbl>
1    65       0    -2         1
2    65       0    -1.79      1
3    65       0    -1.58      1
4    65       1    -1.37      1
5    65       1    -1.16      1
6    65       0    -0.947     1

With respect to priors,

happiness is on an arbitrary scale, in these data, from \(-2\) to \(+2\). So our imaginary strongest relationship, taking happiness from maximum to minimum, has a slope with rise over run of \((2 - (-2))/1 = 4\). Remember that 95% of the mass of a normal distribution is contained within 2 standard deviations. So if we set the standard deviation of the prior to half of 4, we are saying that we expect 95% of plausible slopes to be less than maximally strong. That isn’t a very strong prior, but again, it at least helps bound inference to realistic ranges. Now for the intercepts. Each \(\alpha\) is the value of \(\mu_i\) when \(A_i = 0\). In this case, that means at age 18. So we need to allow \(\alpha\) to cover the full range of happiness scores. \(\operatorname{Normal}(0, 1)\) will put 95% of the mass in the \(-2\) to \(+2\) interval. (p. 178)

Here we’ll take one last step before fitting our model with brms. Saving mid as a factor will make it easier to interpret the model results.

Here we’ll take one last step before fitting our model with brms. Saving the mid index variable as a factor will make it easier to interpret the model results. To see what I mean, skip this step, fit the model, and compare your results with mine, below.

d2 <- d2 |> 
  mutate(mid = factor(married + 1, labels = c("single", "married")))

head(d2)
# A tibble: 6 × 5
    age married happiness     a mid    
  <dbl>   <dbl>     <dbl> <dbl> <fct>  
1    65       0    -2         1 single 
2    65       0    -1.79      1 single 
3    65       0    -1.58      1 single 
4    65       1    -1.37      1 married
5    65       1    -1.16      1 married
6    65       0    -0.947     1 single 

Fit the model.

b6.9 <- brm(
  data = d2, 
  family = gaussian,
  happiness ~ 0 + mid + a,
  prior = c(prior(normal(0, 1), class = b, coef = midmarried),
            prior(normal(0, 1), class = b, coef = midsingle),
            prior(normal(0, 2), class = b, coef = a),
            prior(exponential(1), class = sigma)),
  iter = 2000, warmup = 1000, chains = 4, cores = 4,
  seed = 6,
  file = "fits/b06.09")
print(b6.9)
 Family: gaussian 
  Links: mu = identity 
Formula: happiness ~ 0 + mid + a 
   Data: d2 (Number of observations: 960) 
  Draws: 4 chains, each with iter = 2000; warmup = 1000; thin = 1;
         total post-warmup draws = 4000

Regression Coefficients:
           Estimate Est.Error l-95% CI u-95% CI Rhat Bulk_ESS Tail_ESS
midsingle     -0.19      0.07    -0.32    -0.07 1.00     1626     1943
midmarried     1.27      0.09     1.09     1.44 1.00     1539     2061
a             -0.80      0.12    -1.03    -0.56 1.00     1371     2069

Further Distributional Parameters:
      Estimate Est.Error l-95% CI u-95% CI Rhat Bulk_ESS Tail_ESS
sigma     1.01      0.02     0.97     1.05 1.00     2629     2581

Draws were sampled using sampling(NUTS). For each parameter, Bulk_ESS
and Tail_ESS are effective sample size measures, and Rhat is the potential
scale reduction factor on split chains (at convergence, Rhat = 1).

Now drop marriage status, mid.

b6.10 <- brm(
  data = d2, 
  family = gaussian,
  happiness ~ 0 + Intercept + a,
  prior = c(prior(normal(0, 1), class = b, coef = Intercept),
            prior(normal(0, 2), class = b, coef = a),
            prior(exponential(1), class = sigma)),
  iter = 2000, warmup = 1000, chains = 4, cores = 4,
  seed = 6,
  file = "fits/b06.10")
print(b6.10)
 Family: gaussian 
  Links: mu = identity 
Formula: happiness ~ 0 + Intercept + a 
   Data: d2 (Number of observations: 960) 
  Draws: 4 chains, each with iter = 2000; warmup = 1000; thin = 1;
         total post-warmup draws = 4000

Regression Coefficients:
          Estimate Est.Error l-95% CI u-95% CI Rhat Bulk_ESS Tail_ESS
Intercept    -0.00      0.08    -0.15     0.14 1.00     1545     1686
a             0.01      0.13    -0.25     0.26 1.00     1527     1648

Further Distributional Parameters:
      Estimate Est.Error l-95% CI u-95% CI Rhat Bulk_ESS Tail_ESS
sigma     1.21      0.03     1.16     1.27 1.00     2476     2413

Draws were sampled using sampling(NUTS). For each parameter, Bulk_ESS
and Tail_ESS are effective sample size measures, and Rhat is the potential
scale reduction factor on split chains (at convergence, Rhat = 1).

Wow. So when we take out mid, the coefficient for a drops to zero.

The pattern above is exactly what we should expect when we condition on a collider. The collider is marriage status. It is a common consequence of age and happiness. As a result, when we condition on it, we induce a spurious association between the two causes. So it looks like, to model [b6.9], that age is negatively associated with happiness. But this is just a statistical association, not a causal association. Once we know whether someone is married or not, then their age does provide information about how happy they are. (p. 179)

A little further down, McElreath gets rough:

It’s easy to plead with this example. Shouldn’t marriage also influence happiness? What if happiness does change with age? But this misses the point. If you don’t have a causal model, you can’t make inferences from a multiple regression. And the regression itself does not provide the evidence you need to justify a causal model. Instead, you need some science. (pp. 179–180, emphasis added)

6.3.2 The haunted DAG

It gets worse. “Unmeasured causes can still induce collider bias. So I’m sorry to say that we also have to consider the possibility that our DAG may be haunted” (p. 180).

Here’s the unhaunted DAG.

dag_coords <- tibble(
  name = c("G", "P", "C"),
  x    = c(1, 2, 2),
  y    = c(2, 2, 1))

dagify(P ~ G,
       C ~ P + G,
       coords = dag_coords) |>
  gg_simple_dag()

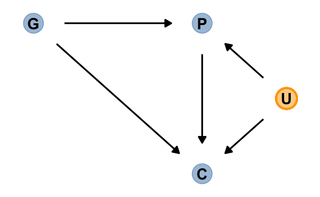
Now we add the haunting variable, U.

dag_coords <- tibble(
  name = c("G", "P", "C", "U"),
  x    = c(1, 2, 2, 2.5),
  y    = c(2, 2, 1, 1.5))

dagify(P ~ G + U,
       C ~ P + G + U,
       coords = dag_coords) |>
  gg_fancy_dag(x = 2.5, y = 1.5, circle = "U")

This is a mess. Let’s simulate some data.

# How many grandparent-parent-child triads would you like?
n <- 200 

b_gp <- 1  # Direct effect of G on P
b_gc <- 0  # Direct effect of G on C
b_pc <- 1  # Direct effect of P on C
b_u  <- 2  # Direct effect of U on P and C

# simulate triads
set.seed(1)
d <- tibble(u = 2 * rbinom(n, size = 1, prob = 0.5) - 1,
            g = rnorm(n, mean = 0, sd = 1)) |> 
  mutate(p = rnorm(n, mean = b_gp * g + b_u * u, sd = 1)) |> 
  mutate(c = rnorm(n, mean = b_pc * p + b_gc * g + b_u * u, sd = 1))

head(d)
# A tibble: 6 × 4
      u       g     p     c
  <dbl>   <dbl> <dbl> <dbl>
1    -1 -0.620  -1.73 -3.65
2    -1  0.0421 -3.01 -5.30
3     1 -0.911   3.06  3.88
4     1  0.158   1.77  3.79
5    -1 -0.655  -1.00 -2.01
6     1  1.77    5.28  8.87

Fit the model without u.

b6.11 <- brm(
  data = d, 
  family = gaussian,
  c ~ 0 + Intercept + p + g,
  prior = c(prior(normal(0, 1), class = b),
            prior(exponential(1), class = sigma)),
  iter = 2000, warmup = 1000, chains = 4, cores = 4,
  seed = 6,
  file = "fits/b06.11")
print(b6.11)
 Family: gaussian 
  Links: mu = identity 
Formula: c ~ 0 + Intercept + p + g 
   Data: d (Number of observations: 200) 
  Draws: 4 chains, each with iter = 2000; warmup = 1000; thin = 1;
         total post-warmup draws = 4000

Regression Coefficients:
          Estimate Est.Error l-95% CI u-95% CI Rhat Bulk_ESS Tail_ESS
Intercept    -0.12      0.10    -0.31     0.08 1.00     3931     2937
p             1.79      0.04     1.70     1.87 1.00     3347     2470
g            -0.84      0.11    -1.04    -0.62 1.00     3356     2895

Further Distributional Parameters:
      Estimate Est.Error l-95% CI u-95% CI Rhat Bulk_ESS Tail_ESS
sigma     1.43      0.07     1.30     1.58 1.00     3530     3144

Draws were sampled using sampling(NUTS). For each parameter, Bulk_ESS
and Tail_ESS are effective sample size measures, and Rhat is the potential
scale reduction factor on split chains (at convergence, Rhat = 1).

Here’s our version of Figure 6.5.

d_plot <- d |> 
  mutate(centile = ifelse(p >= quantile(p, prob = 0.45) & p <= quantile(p, prob = 0.60), "a", "b"),
         u = factor(u))

d_plot |>
  ggplot(aes(x = g, y = c)) +
  geom_point(aes(shape = centile, color = u),
             size = 2.5, stroke = 1/4) +
  stat_smooth(data = d_plot |> filter(centile == "a"),
              method = "lm", se = F, color = "black", linewidth = 1/2, fullrange = T) +
  scale_shape_manual(values = c(19, 1)) +
  scale_color_manual(values = c("black", "lightblue")) +
  theme(legend.position = "none")

Now fit the model including u.

b6.12 <- update(
  b6.11,
  newdata = d,
  formula = c ~ 0 + Intercept + p + g + u,
  seed = 6,
  file = "fits/b06.12")

Check the results.

print(b6.12)
 Family: gaussian 
  Links: mu = identity 
Formula: c ~ Intercept + p + g + u - 1 
   Data: d (Number of observations: 200) 
  Draws: 4 chains, each with iter = 2000; warmup = 1000; thin = 1;
         total post-warmup draws = 4000

Regression Coefficients:
          Estimate Est.Error l-95% CI u-95% CI Rhat Bulk_ESS Tail_ESS
Intercept    -0.12      0.07    -0.26     0.02 1.00     3124     2612
p             1.01      0.07     0.88     1.14 1.00     1802     2011
g            -0.04      0.10    -0.22     0.15 1.00     2152     2511
u             2.00      0.15     1.71     2.29 1.00     1953     2359

Further Distributional Parameters:
      Estimate Est.Error l-95% CI u-95% CI Rhat Bulk_ESS Tail_ESS
sigma     1.04      0.05     0.94     1.14 1.00     2795     2355

Draws were sampled using sampling(NUTS). For each parameter, Bulk_ESS
and Tail_ESS are effective sample size measures, and Rhat is the potential
scale reduction factor on split chains (at convergence, Rhat = 1).

Now the posterior for \(\beta_\text g\) is hovering around 0, where it belongs.

b_gc
[1] 0

6.4 Confronting confounding

“Let’s define confounding as any context in which the association between an outcome \(Y\) and a predictor of interest \(X\) is not the same as it would be, if we had experimentally determined the values of \(X\)” (p. 183, emphasis in the original).

Here’s the \(E\)-\(U\)-\(W\) DAG to help us sort this out.

dag_coords <- tibble(
  name = c("E", "U", "W"),
  x    = c(1, 2, 3),
  y    = c(1, 2, 1))

dagify(E ~ U,
       W ~ E + U,
       coords = dag_coords) |>
  gg_simple_dag()

Here’s the alternative if we were to randomly assign \(E\).

dagify(W ~ E + U,
       coords = dag_coords) |>
  gg_simple_dag()

“Manipulation removes the confounding, because it blocks the other path between \(E\) and \(W\)” (p. 184).

6.4.1 Shutting the backdoor

Blocking confounding paths between some predictor \(X\) and some outcome \(Y\) is known as shutting the backdoor. We don’t want any spurious association sneaking in through a non-causal path that enters the back of the predictor \(X\). In the example above, the path \(E \leftarrow U \rightarrow W\) is a backdoor path, because it enters $$E with an arrow and also connects \(E\) to \(W\). This path is non-causal–intervening on \(E\) will not cause a change in \(W\) through this path–but it still produces an association between \(E\) and \(W\).

Now for some good news. Given a causal DAG, it is always possible to say which, if any, variables one must control for in order to shut all the backdoor paths. It is also possible to say which variables one must not control for, in order to avoid making new confounds. And–some more good news–there are only four types of variable relations that combine to form all possible paths. (p. 184, emphasis in the original)

Here are the representations for our four types of variable relations: the fork, pipe, collider, and descendant.

d1 <- dagify(
  X ~ Z,
  Y ~ Z,
  coords = tibble(name = c("X", "Y", "Z"),
                  x = c(1, 3, 2),
                  y = c(2, 2, 1)))

d2 <- dagify(
  Z ~ X,
  Y ~ Z,
  coords = tibble(name = c("X", "Y", "Z"),
                  x = c(1, 3, 2),
                  y = c(2, 1, 1.5)))

d3 <- dagify(
  Z ~ X + Y,
  coords = tibble(name = c("X", "Y", "Z"),
                  x = c(1, 3, 2),
                  y = c(1, 1, 2)))

d4 <- dagify(
  Z ~ X + Y,
  D ~ Z,
  coords = tibble(name = c("X", "Y", "Z", "D"),
                  x = c(1, 3, 2, 2),
                  y = c(1, 1, 2, 1.05)))

p1 <- gg_simple_dag(d1) + labs(subtitle = "The Fork")
p2 <- gg_simple_dag(d2) + labs(subtitle = "The Pipe")
p3 <- gg_simple_dag(d3) + labs(subtitle = "The Collider")
p4 <- gg_simple_dag(d4) + labs(subtitle = "The Descendant")

Outside of the DAGs produced by the node_equivalent_dags(), the ggdag package does not simultaneously plot multiple DAGs the way one might with ggplot::facet_wrap(). For details, see GitHub issues #41 and #42. However, a simple way around that is to make each plot separately, save them, and then combine the individual plots with patchwork. Here it is, our DAGgy Figure 6.6.

library(patchwork)

(p1 | p2 | p3 | p4) &
  theme(plot.subtitle = element_text(hjust = 0.5)) &
  plot_annotation(title = "The four elemental confounds") 

No matter how complicated a causal DAG appears, it is always built out of these four types of relations. And since you know how to open and close each, you (or your computer) can figure out which variables you need to include or not include. Here’s the recipe:

  • 1 List all of the paths connecting \(X\) (the potential cause of interest) and \(Y\) (the outcome).
  • 2 Classify each path by whether it is open or closed. A path is open unless it contains a collider.
  • 3 Classify each path by whether it is a backdoor path. A backdoor path has an arrow entering \(X\).
  • 4 If there are any open backdoor paths, decide which variable(s) to condition on to close it (if possible). (p. 185)

6.4.2 Two roads

“The DAG below contains an exposure of interest \(X\), an outcome of interest \(Y\), an unobserved variable \(U\), and three observed covariates (\(A\), \(B\), and \(C\))” (p. 186).

dag_coords <- tibble(
  name = c("A", "B", "C", "U", "X", "Y"),
  x    = c(2, 2, 3, 1, 1, 3),
  y    = c(4, 2, 3, 3, 1, 1))

dagify(B ~ C + U,
       C ~ A,
       U ~ A,
       X ~ U,
       Y ~ C + X,
       coords = dag_coords) |>
  gg_fancy_dag(x = 1, y = 3, circle = "U")

In this DAG, there are two indirect (backdoor) paths from \(X\) to \(Y\), which are

  • \(X \leftarrow U \leftarrow A \rightarrow C \rightarrow Y\), which is open; and
  • \(X \leftarrow U \rightarrow B \leftarrow C \rightarrow Y\), which is closed.

Conditioning on either \(C\) or \(A\) will close the open backdoor.

dag_6.1 <- dagitty(
  "dag {
    U [unobserved]
    X -> Y
    X <- U <- A -> C -> Y 
    U -> B <- C
    }"
)

adjustmentSets(dag_6.1, exposure = "X", outcome = "Y")
{ C }
{ A }

Do note the adjustmentSets() default is to return only minimal sets of variables on which to condition. If you would like to see other non-minimal adjustment sets, set type = "all". Here’s what that looks like for this example.

adjustmentSets(dag_6.1, exposure = "X", outcome = "Y", type = "all")
{ A }
{ C }
{ A, C }
{ B, C }
{ A, B, C }
{ U }
{ A, U }
{ B, U }
{ A, B, U }
{ C, U }
{ A, C, U }
{ B, C, U }
{ A, B, C, U }

6.4.3 Backdoor waffles

dag_coords <- tibble(
  name = c("A", "D", "M", "S", "W"),
  x    = c(1, 3, 2, 1, 3),
  y    = c(1, 1, 2, 3, 3))

dagify(A ~ S,
       D ~ A + M + W,
       M ~ A + S,
       W ~ S,
       coords = dag_coords) |>
  gg_simple_dag()

In this graph, \(S\) is whether or not a State is in the southern United States, \(A\) is median age at marriage, \(M\) is marriage rate, \(W\) is number of Waffle Houses, and \(D\) is divorce rate. This graph assumes that southern States have lower ages of marriage (\(S \rightarrow A\)), higher rates of marriage both directly (\(S \rightarrow M\)) and mediated through age of marriage (\(S \rightarrow A \rightarrow M\)), as well as more waffles (\(S \rightarrow W\)). Age of marriage and marriage rate both influence divorce.

There are three open backdoor paths between \(W\) and \(D\). (p. 187)

dag_6.2 <- dagitty(
  "dag {
    A -> D
    A -> M -> D
    A <- S -> M
    S -> W -> D
    }"
)

adjustmentSets(dag_6.2, exposure = "W", outcome = "D")
{ A, M }
{ S }

The first line of output indicates we’d have to condition on \(A\) and \(M\) simultaneously. As an alternative, we could just condition on \(S\). Here are the conditional independencies implied in that DAG.

impliedConditionalIndependencies(dag_6.2)
A _||_ W | S
D _||_ S | A, M, W
M _||_ W | S

6.5 Summary [and a little more practice]

Multiple regression is no oracle, but only a golem. It is logical, but the relationships it describes are conditional associations, not causal influences. Therefore additional information, from outside the model, is needed to make sense of it. This chapter presented introductory examples of some common frustrations: multicollinearity, post-treatment bias, and collider bias. Solutions to these frustrations can be organized under a coherent framework in which hypothetical causal relations among variables are analyzed to cope with confounding. (p. 189)

In the last section, we used a DAG to explore how including/excluding different covariates might influence our estimate of the causal relationship between the number of Waffle Houses and the divorce rate (\(W \rightarrow D\)). To finish that example out, we might explore some of the possible models informed by the DAG. First we load the Waffle House data.

data(WaffleDivorce, package = "rethinking")
d <- WaffleDivorce

# Standardize the continuous focal variables
d <- d |> 
  mutate(a = rethinking::standardize(MedianAgeMarriage),
         d = rethinking::standardize(Divorce),
         m = rethinking::standardize(Marriage),
         s = factor(South, levels = 0:1, labels = c("North", "South")),
         w = rethinking::standardize(WaffleHouses))

# tidy up
rm(WaffleDivorce)

The only focal variable we did not standardize was South, which is binary. Technically, you can standardize binary variables and not break the regression model. However, my preference it so leave them in their 0/1 metric. To do otherwise would complicate how you’d interpret the result of any model including them. Here is our ggpairs() plot of all five focal variables. Remember, the central issue is the causal relation between w and d.

ggpairs(data = d, columns = c(14:16, 18, 17),
        upper = list(continuous = wrap("cor", family = "sans", color = "black", size = 3)),
        diag = list(continuous = my_diag),
        lower = list(continuous = my_lower),
        mapping = aes(color = s)) +
  scale_fill_manual(values = c("forestgreen", "lightblue"))

Let’s fit a series of models. The priors are based on those we used the last time we saw the WaffleHouses data (Section 5.1).

b6.13 <- brm(
  data = d, 
  family = gaussian,
  d ~ 1 + w,
  prior = c(prior(normal(0, 0.2), class = Intercept),
            prior(normal(0, 0.5), class = b),
            prior(exponential(1), class = sigma)),
  iter = 2000, warmup = 1000, chains = 4, cores = 4,
  seed = 6,
  file = "fits/b06.13")

b6.14 <- brm(
  data = d, 
  family = gaussian,
  d ~ 1 + w + s,
  prior = c(prior(normal(0, 0.2), class = Intercept),
            prior(normal(0, 0.5), class = b),
            prior(exponential(1), class = sigma)),
  iter = 2000, warmup = 1000, chains = 4, cores = 4,
  seed = 6,
  file = "fits/b06.14")

b6.15 <- brm(
  data = d, 
  family = gaussian,
  d ~ 1 + w + a + m,
  prior = c(prior(normal(0, 0.2), class = Intercept),
            prior(normal(0, 0.5), class = b),
            prior(exponential(1), class = sigma)),
  iter = 2000, warmup = 1000, chains = 4, cores = 4,
  seed = 6,
  file = "fits/b06.15")

b6.16 <- brm(
  data = d, 
  family = gaussian,
  d ~ 1 + w + a,
  prior = c(prior(normal(0, 0.2), class = Intercept),
            prior(normal(0, 0.5), class = b),
            prior(exponential(1), class = sigma)),
  iter = 2000, warmup = 1000, chains = 4, cores = 4,
  seed = 6,
  file = "fits/b06.16")

b6.17 <- brm(
  data = d, 
  family = gaussian,
  d ~ 1 + w + m,
  prior = c(prior(normal(0, 0.2), class = Intercept),
            prior(normal(0, 0.5), class = b),
            prior(exponential(1), class = sigma)),
  iter = 2000, warmup = 1000, chains = 4, cores = 4,
  seed = 6,
  file = "fits/b06.17")

If we extract the posterior draws from each model, the column corresponding to \(W \rightarrow D\) will be b_w. Here we extract those columns, wrangle, and compare the posteriors in a coefficient plot.

formula <- c("d ~ 1 + w", 
             "d ~ 1 + w + s", 
             "d ~ 1 + w + a + m", 
             "d ~ 1 + w + a", 
             "d ~ 1 + w + m")

tibble(fit = str_c("b6.1", 3:7)) |> 
  mutate(y    = str_c(fit, " (", formula, ")"),
         post = purrr::map(.x = fit, .f = function(x) {
           get(x) |> 
             as_draws_df() |> 
             select(b_w)
           })) |> 
  unnest(post) |> 
  
  ggplot(aes(x = b_w, y = y, color = fit %in% c("b6.14", "b6.15"))) +
  stat_pointinterval(.width = 0.95) +
  scale_color_manual(values = c("grey50", "forestgreen")) +
  labs(x = expression(beta[w]),
       y = NULL) +
  coord_cartesian(xlim = c(-0.4, 0.6)) +
  theme(axis.text.y = element_text(hjust = 0),
        legend.position = "none")

The two \(\beta_w\) posteriors corresponding to those endorsed by our DAG are in green. Frustratingly, the results from a real-world data analysis aren’t as conclusive as we may have naïvely supposed. Why? Well, McElreath left us with some words of wisdom a few pages back:

This DAG is obviously not satisfactory–it assumes there are no unobserved confounds, which is very unlikely for this sort of data. But we can still learn something by analyzing it. While the data cannot tell us whether a graph is correct, it can sometimes suggest how a graph is wrong. (p. 187)

DAGs are nice tool for informing our data analytic strategy. But just as our multivariable predictor models are no fail-safes, our DAGs aren’t either. Models, theories, data-collection procedures–they all work together (or not) to determine the quality of our posteriors. To the extent any of those components are off, watch out.

Session info

sessionInfo()
R version 4.5.1 (2025-06-13)
Platform: aarch64-apple-darwin20
Running under: macOS Ventura 13.4

Matrix products: default
BLAS:   /Library/Frameworks/R.framework/Versions/4.5-arm64/Resources/lib/libRblas.0.dylib 
LAPACK: /Library/Frameworks/R.framework/Versions/4.5-arm64/Resources/lib/libRlapack.dylib;  LAPACK version 3.12.1

locale:
[1] en_US.UTF-8/en_US.UTF-8/en_US.UTF-8/C/en_US.UTF-8/en_US.UTF-8

time zone: America/Chicago
tzcode source: internal

attached base packages:
[1] stats     graphics  grDevices utils     datasets  methods   base     

other attached packages:
 [1] patchwork_1.3.2       dagitty_0.3-4         ggdag_0.2.13          GGally_2.4.0          tidybayes_3.0.7      
 [6] bayesplot_1.15.0.9000 brms_2.23.0           Rcpp_1.1.0            lubridate_1.9.4       forcats_1.0.1        
[11] stringr_1.6.0         dplyr_1.1.4           purrr_1.2.1           readr_2.1.5           tidyr_1.3.2          
[16] tibble_3.3.1          ggplot2_4.0.1         tidyverse_2.0.0      

loaded via a namespace (and not attached):
  [1] gridExtra_2.3           inline_0.3.21           sandwich_3.1-1          rlang_1.1.7             magrittr_2.0.4         
  [6] multcomp_1.4-29         matrixStats_1.5.0       compiler_4.5.1          mgcv_1.9-3              loo_2.9.0.9000         
 [11] vctrs_0.7.0             reshape2_1.4.5          crayon_1.5.3            pkgconfig_2.0.3         shape_1.4.6.1          
 [16] arrayhelpers_1.1-0      fastmap_1.2.0           backports_1.5.0         labeling_0.4.3          ggraph_2.2.2           
 [21] utf8_1.2.6              cmdstanr_0.9.0          rmarkdown_2.30          tzdb_0.5.0              ps_1.9.1               
 [26] xfun_0.55               cachem_1.1.0            jsonlite_2.0.0          tweenr_2.0.3            parallel_4.5.1         
 [31] R6_2.6.1                stringi_1.8.7           RColorBrewer_1.1-3      StanHeaders_2.36.0.9000 boot_1.3-31            
 [36] estimability_1.5.1      assertthat_0.2.1        rstan_2.36.0.9000       knitr_1.51              zoo_1.8-14             
 [41] Matrix_1.7-3            splines_4.5.1           igraph_2.2.0            timechange_0.3.0        tidyselect_1.2.1       
 [46] viridis_0.6.5           rstudioapi_0.17.1       abind_1.4-8             yaml_2.3.12             codetools_0.2-20       
 [51] rethinking_2.42         curl_7.0.0              processx_3.8.6          pkgbuild_1.4.8          lattice_0.22-7         
 [56] plyr_1.8.9              withr_3.0.2             bridgesampling_1.2-1    S7_0.2.1                posterior_1.6.1.9000   
 [61] coda_0.19-4.1           evaluate_1.0.5          survival_3.8-3          ggstats_0.11.0          RcppParallel_5.1.11-1  
 [66] polyclip_1.10-7         ggdist_3.3.3            pillar_1.11.1           tensorA_0.36.2.1        checkmate_2.3.3        
 [71] stats4_4.5.1            distributional_0.5.0    generics_0.1.4          hms_1.1.4               rstantools_2.5.0.9000  
 [76] scales_1.4.0            xtable_1.8-4            emo_0.0.0.9000          glue_1.8.0              emmeans_1.11.2-8       
 [81] tools_4.5.1             mvtnorm_1.3-3           graphlayouts_1.2.2      tidygraph_1.3.1         grid_4.5.1             
 [86] QuickJSR_1.8.1          nlme_3.1-168            ggforce_0.5.0           cli_3.6.5               svUnit_1.0.8           
 [91] viridisLite_0.4.2       Brobdingnag_1.2-9       V8_8.0.1                gtable_0.3.6            digest_0.6.39          
 [96] ggrepel_0.9.6           TH.data_1.1-4           htmlwidgets_1.6.4       farver_2.1.2            memoise_2.0.1          
[101] htmltools_0.5.9         lifecycle_1.0.5         MASS_7.3-65            

Comments