12  Extending the Discrete-Time Hazard Model

Like all statistical models, the basic discrete-time hazard model invokes assumptions about the population that may, or may not, hold in practice. Because no model should be adopted without scrutiny, we devote this chapter to examining its assumptions, demonstrating how to evaluate their tenability and relax their constraints when appropriate. In doing so, we illustrate practical principles of data analysis and offer theoretical insights into the model’s behavior and interpretation. (Singer & Willett, 2003, p. 407)

12.1 Alternative specification for the “main effect” of TIME

Use of a completely general specification for TIME [as explored in the last chapter] is an analytic decision, not an integral feature of the model. Nothing about the model or its estimation requires adoption of this, or any other, particular specification for TIME (p. 409, emphasis in the original)

In the next page, Singer and Willett listed three circumstances under which we might consider alternatives to the completely general approach to time. They were

  • in studies with many discrete time periods,
  • when hazard is expected to be near zero in some time periods, and
  • when some time periods have small risk sets.

In the subsections to follow, we will explore each in turn.

12.1.1 An ordered series of polynomial specifications for TIME

Load the Gamse and Conger’s (1997) tenure_pp.csv data.

library(tidyverse)

tenure_pp <- read_csv("data/tenure_pp.csv") %>% 
  # convert the column names to lower case
  rename_all(tolower)

glimpse(tenure_pp)
Rows: 1,474
Columns: 12
$ id     <dbl> 111, 111, 111, 111, 111, 211, 211, 211, 211, 211, 211, 311, 311, 311, 311, 311, 311, 311, 311, 411, 411, 411, 411…
$ period <dbl> 1, 2, 3, 4, 5, 1, 2, 3, 4, 5, 6, 1, 2, 3, 4, 5, 6, 7, 8, 1, 2, 3, 4, 5, 6, 7, 8, 9, 1, 2, 3, 1, 2, 3, 4, 5, 6, 1,…
$ event  <dbl> 0, 0, 0, 0, 1, 0, 0, 0, 0, 0, 1, 0, 0, 0, 0, 0, 0, 0, 0, 0, 0, 0, 0, 0, 0, 0, 0, 1, 0, 0, 1, 0, 0, 0, 0, 0, 1, 0,…
$ d1     <dbl> 1, 0, 0, 0, 0, 1, 0, 0, 0, 0, 0, 1, 0, 0, 0, 0, 0, 0, 0, 1, 0, 0, 0, 0, 0, 0, 0, 0, 1, 0, 0, 1, 0, 0, 0, 0, 0, 1,…
$ d2     <dbl> 0, 1, 0, 0, 0, 0, 1, 0, 0, 0, 0, 0, 1, 0, 0, 0, 0, 0, 0, 0, 1, 0, 0, 0, 0, 0, 0, 0, 0, 1, 0, 0, 1, 0, 0, 0, 0, 0,…
$ d3     <dbl> 0, 0, 1, 0, 0, 0, 0, 1, 0, 0, 0, 0, 0, 1, 0, 0, 0, 0, 0, 0, 0, 1, 0, 0, 0, 0, 0, 0, 0, 0, 1, 0, 0, 1, 0, 0, 0, 0,…
$ d4     <dbl> 0, 0, 0, 1, 0, 0, 0, 0, 1, 0, 0, 0, 0, 0, 1, 0, 0, 0, 0, 0, 0, 0, 1, 0, 0, 0, 0, 0, 0, 0, 0, 0, 0, 0, 1, 0, 0, 0,…
$ d5     <dbl> 0, 0, 0, 0, 1, 0, 0, 0, 0, 1, 0, 0, 0, 0, 0, 1, 0, 0, 0, 0, 0, 0, 0, 1, 0, 0, 0, 0, 0, 0, 0, 0, 0, 0, 0, 1, 0, 0,…
$ d6     <dbl> 0, 0, 0, 0, 0, 0, 0, 0, 0, 0, 1, 0, 0, 0, 0, 0, 1, 0, 0, 0, 0, 0, 0, 0, 1, 0, 0, 0, 0, 0, 0, 0, 0, 0, 0, 0, 1, 0,…
$ d7     <dbl> 0, 0, 0, 0, 0, 0, 0, 0, 0, 0, 0, 0, 0, 0, 0, 0, 0, 1, 0, 0, 0, 0, 0, 0, 0, 1, 0, 0, 0, 0, 0, 0, 0, 0, 0, 0, 0, 0,…
$ d8     <dbl> 0, 0, 0, 0, 0, 0, 0, 0, 0, 0, 0, 0, 0, 0, 0, 0, 0, 0, 1, 0, 0, 0, 0, 0, 0, 0, 1, 0, 0, 0, 0, 0, 0, 0, 0, 0, 0, 0,…
$ d9     <dbl> 0, 0, 0, 0, 0, 0, 0, 0, 0, 0, 0, 0, 0, 0, 0, 0, 0, 0, 0, 0, 0, 0, 0, 0, 0, 0, 0, 1, 0, 0, 0, 0, 0, 0, 0, 0, 0, 0,…

Let’s confirm these data are composed of the records of \(n = 260\) early-career academics.

tenure_pp %>% 
  distinct(id) %>% 
  count()
# A tibble: 1 × 1
      n
  <int>
1   260

Here’s a way to count how many cases were censored.

tenure_pp %>% 
  group_by(id) %>% 
  arrange(desc(period)) %>% 
  slice(1) %>%
  ungroup() %>% 
  count(event) %>% 
  mutate(percent = 100 * n / sum(n))
# A tibble: 2 × 3
  event     n percent
  <dbl> <int>   <dbl>
1     0    94    36.2
2     1   166    63.8

Let’s fire up brms.

library(brms)

As discussed in the prose and displayed in Tables 12.1 and 12.2, we will fit seven models, ranging from a constant (i.e., intercept only) model to a general (i.e., discrete factor) model. In the last chapter, we discussed how one can fit a general model with a series of \(J\) dummies or equivalently with the time variable, period in these data, set as a factor. Here we’ll do both. In preparation, we’ll make a period_f version of period.

tenure_pp <- tenure_pp %>% 
  mutate(period_f = factor(period))

Now fit the models.

# constant
fit12.1 <- brm(
  data = tenure_pp,
  family = binomial,
  event | trials(1) ~ 1,
  prior(normal(0, 4), class = Intercept),
  chains = 4, cores = 4, iter = 2000, warmup = 1000,
  seed = 12,
  file = "fits/fit12.01")

# linear
fit12.2 <- brm(
  data = tenure_pp,
  family = binomial,
  event | trials(1) ~ 0 + Intercept + period,
  prior(normal(0, 4), class = b),
  chains = 4, cores = 4, iter = 2000, warmup = 1000,
  seed = 12,
  file = "fits/fit12.02")

# quadratic
fit12.3 <- brm(
  data = tenure_pp,
  family = binomial,
  event | trials(1) ~ 0 + Intercept + period + I(period^2),
  prior(normal(0, 4), class = b),
  chains = 4, cores = 4, iter = 2000, warmup = 1000,
  seed = 12,
  file = "fits/fit12.03")

# cubic
fit12.4 <- brm(
  data = tenure_pp,
  family = binomial,
  event | trials(1) ~ 0 + Intercept + period + I(period^2) + I(period^3),
  prior(normal(0, 4), class = b),
  chains = 4, cores = 4, iter = 2000, warmup = 1000,
  seed = 12,
  file = "fits/fit12.04")

# fourth order
fit12.5 <- brm(
  data = tenure_pp,
  family = binomial,
  event | trials(1) ~ 0 + Intercept + period + I(period^2) + I(period^3) + I(period^4),
  prior(normal(0, 4), class = b),
  chains = 4, cores = 4, iter = 2000, warmup = 1000,
  control = list(max_treedepth = 12),
  seed = 12,
  file = "fits/fit12.05")

# fifth order
fit12.6 <- brm(
  data = tenure_pp,
  family = binomial,
  event | trials(1) ~ 0 + Intercept + period + I(period^2) + I(period^3) + I(period^4) + I(period^5),
  prior(normal(0, 4), class = b),
  chains = 4, cores = 4, iter = 2000, warmup = 1000,
  control = list(max_treedepth = 14),
  seed = 12,
  init = 0,
  file = "fits/fit12.06")

# general
fit12.7 <- brm(
  data = tenure_pp,
  family = binomial,
  event | trials(1) ~ 0 + d1 + d2 + d3 + d4 + d5 + d6 + d7 + d8 + d9,
  prior(normal(0, 4), class = b),
  chains = 4, cores = 4, iter = 2000, warmup = 1000,
  seed = 12,
  file = "fits/fit12.07")

# general with `factor(period)`
fit12.8 <- brm(
  data = tenure_pp,
  family = binomial,
  event | trials(1) ~ 0 + period_f,
  prior(normal(0, 4), class = b),
  chains = 4, cores = 4, iter = 2000, warmup = 1000,
  seed = 12,
  file = "fits/fit12.08")

Before we compare the models with information criteria, it might be handy to look at the hazard functions for each. A relatively quick way is with the conditional_effects() function.

p2 <- plot(conditional_effects(fit12.2), plot = F)[[1]] + ggtitle("linear")
p3 <- plot(conditional_effects(fit12.3), plot = F)[[1]] + ggtitle("quadratic")
p4 <- plot(conditional_effects(fit12.4), plot = F)[[1]] + ggtitle("cubic")
p5 <- plot(conditional_effects(fit12.5), plot = F)[[1]] + ggtitle("fourth order")
p6 <- plot(conditional_effects(fit12.6), plot = F)[[1]] + ggtitle("fifth order")
p7 <- plot(conditional_effects(fit12.8), 
           cat_args = list(size = 3/2), 
           plot = F)[[1]] + ggtitle("general")

Because it contains no predictors, we cannot use conditional_effects() to make a plot for the constant model (i.e., fit12.1). We’ll have to do that by hand.

p1 <- tibble(period = 1:9) %>% 
  ggplot(aes(x = period)) +
  geom_ribbon(aes(ymin = fixef(fit12.1)[, 3] %>% plogis(),
                  ymax = fixef(fit12.1)[, 4] %>% plogis()),
              alpha = 1/5) +
  geom_line(aes(y = fixef(fit12.1)[, 1] %>% plogis()),
            linewidth = 1, color = "blue1") +
  ggtitle("constant") +
  ylab("event | trials(1)")

Now combine and format the subplots with patchwork.

library(patchwork)

(((p1 + p2 + p3 + p4 + p5 + p6) & scale_x_continuous(breaks = 1:9)) + p7) &
  coord_cartesian(ylim = c(0, 0.5)) &
  theme(panel.grid = element_blank())

We are going to depart from Singer and Willett and no longer entertain using deviance for Bayesian model comparison. But we will compare then using the WAIC and the LOO.

fit12.1 <- add_criterion(fit12.1, criterion = c("loo", "waic"))
fit12.2 <- add_criterion(fit12.2, criterion = c("loo", "waic"))
fit12.3 <- add_criterion(fit12.3, criterion = c("loo", "waic"))
fit12.4 <- add_criterion(fit12.4, criterion = c("loo", "waic"))
fit12.5 <- add_criterion(fit12.5, criterion = c("loo", "waic"))
fit12.6 <- add_criterion(fit12.6, criterion = c("loo", "waic"))
fit12.7 <- add_criterion(fit12.7, criterion = c("loo", "waic"))
fit12.8 <- add_criterion(fit12.8, criterion = c("loo", "waic"))

Before comparing the models in bulk, as in Table 12.2, let’s confirm that whether we use the dummy variable method (fit12.7) or the factor variable method (fit12.8), the results for the general model are the same.

loo_compare(fit12.7, fit12.8, criterion = "loo") %>% print(simplify = F)
        elpd_diff se_diff elpd_loo se_elpd_loo p_loo  se_p_loo looic  se_looic
fit12.7    0.0       0.0  -424.9     22.5         9.3    1.1    849.9   44.9  
fit12.8    0.0       0.0  -424.9     22.5         9.3    1.1    849.9   44.9  
loo_compare(fit12.7, fit12.8, criterion = "waic") %>% print(simplify = F)
        elpd_diff se_diff elpd_waic se_elpd_waic p_waic se_p_waic waic   se_waic
fit12.7    0.0       0.0  -424.9      22.5          9.2    1.1     849.7   44.9 
fit12.8    0.0       0.0  -424.9      22.5          9.2    1.1     849.7   44.9 

Yep, both WAIC and LOO confirm both methods are equivalent. One of the main reasons we used the factor method, here, was because it made it easier to plot the results with conditional_effects(). But with the following model comparisons, we’ll focus on fit12.1 through fit12.7.

loo_compare(fit12.1, fit12.2, fit12.3, fit12.4, fit12.5, fit12.6, fit12.7, criterion = "loo") %>% 
  print(simplify = F)
        elpd_diff se_diff elpd_loo se_elpd_loo p_loo  se_p_loo looic  se_looic
fit12.4    0.0       0.0  -420.5     22.1         3.9    0.5    841.1   44.1  
fit12.3   -0.6       2.2  -421.1     22.0         3.0    0.4    842.3   44.1  
fit12.5   -0.6       0.8  -421.2     22.2         4.7    0.6    842.4   44.4  
fit12.6   -1.2       0.8  -421.8     22.2         5.3    0.6    843.5   44.4  
fit12.7   -4.4       1.5  -424.9     22.5         9.3    1.1    849.9   44.9  
fit12.2  -15.0       5.9  -435.5     22.1         1.7    0.1    871.1   44.1  
fit12.1  -99.2      13.2  -519.8     25.2         1.0    0.1   1039.6   50.3  
loo_compare(fit12.1, fit12.2, fit12.3, fit12.4, fit12.5, fit12.6, fit12.7, criterion = "waic") %>% 
  print(simplify = F)
        elpd_diff se_diff elpd_waic se_elpd_waic p_waic se_p_waic waic   se_waic
fit12.4    0.0       0.0  -420.5      22.1          3.9    0.5     841.1   44.1 
fit12.3   -0.6       2.2  -421.1      22.0          3.0    0.4     842.3   44.1 
fit12.5   -0.6       0.8  -421.2      22.2          4.7    0.6     842.3   44.4 
fit12.6   -1.2       0.8  -421.7      22.2          5.3    0.6     843.5   44.4 
fit12.7   -4.3       1.5  -424.9      22.5          9.2    1.1     849.7   44.9 
fit12.2  -15.0       5.9  -435.5      22.1          1.7    0.1     871.1   44.1 
fit12.1  -99.3      13.2  -519.8      25.2          1.0    0.1    1039.6   50.3 

Our results are very similar to those in the AIC column in Table 12.2. Just for kicks and giggles, here are the model weights based on the LOO, WAIC, and stacking method.

model_weights(fit12.1, fit12.2, fit12.3, fit12.4, fit12.5, fit12.6, fit12.7, weights = "loo") %>% 
  round(digits = 3)
fit12.1 fit12.2 fit12.3 fit12.4 fit12.5 fit12.6 fit12.7 
  0.000   0.000   0.230   0.419   0.222   0.123   0.005 
model_weights(fit12.1, fit12.2, fit12.3, fit12.4, fit12.5, fit12.6, fit12.7, weights = "waic") %>% 
  round(digits = 3)
fit12.1 fit12.2 fit12.3 fit12.4 fit12.5 fit12.6 fit12.7 
  0.000   0.000   0.228   0.420   0.223   0.124   0.005 
model_weights(fit12.1, fit12.2, fit12.3, fit12.4, fit12.5, fit12.6, fit12.7, weights = "stacking") %>% 
  round(digits = 3)
fit12.1 fit12.2 fit12.3 fit12.4 fit12.5 fit12.6 fit12.7 
  0.018   0.000   0.445   0.536   0.000   0.000   0.000 

Across the comparison methods, the overall pattern is the cubic model (fit12.4) is marginally better than the rest, but that both the quadratic and fourth-order models were quite close. Unlike when you use model deviance, the parsimony corrections used in the information-criteria-based methods all suggest the general model is overfit.

Before considering whether these differences in [information criteria] are sufficient to warrant use of an alternative specification for TIME, let us examine the corresponding fitted logit hazard functions. Doing so not only highlights the behavior of logit hazard, it also offers a graphical means of comparing the fit of competing specifications. (p. 413, emphasis in the original)

In preparation for our Figure 12.1, we’ll make a custom function called make_fitted(), which will streamline some of the data wrangling code.

make_fitted <- function(fit, scale, ...) {
  fitted(fit,
         newdata = nd,
         scale = scale,
         ...) %>% 
    data.frame() %>% 
    bind_cols(nd)
}

In addition to taking different brms fit objects as input, make_fitted() will allow us to adjust the scale of the output. As you’ll see, we will need to work with to settings in the coming plots. For our first batch of code, we’ll use scale = "linear". Because the newdata for our version of the general model (i.e., fit12.8) requires the predictor to be called period_f and the rest of the models require the predictor to be named period, we’ll make and save the results for the former first, redefine our newdata, apply make_fitted() to the rest of the models, and then combine them all. Here it is in one fell swoop.

nd <- tibble(period_f = 1:9)

f <- make_fitted(fit12.8, scale = "linear") %>% rename(period = period_f)

# this will simplify the `mutate()` code below
models <- c("constant", "linear", "quadratic", "cubic", "general")

nd <- tibble(period = 1:9)

f <- bind_rows(
  make_fitted(fit12.1, scale = "linear"),  # constant
  make_fitted(fit12.2, scale = "linear"),  # linear
  make_fitted(fit12.3, scale = "linear"),  # quadratic
  make_fitted(fit12.4, scale = "linear"),  # cubic
  f) %>%                                   # general
  mutate(model = factor(rep(models, each = 9),
                        levels = models))

# what have we done?
glimpse(f)
Rows: 45
Columns: 6
$ Estimate  <dbl> -2.0707275, -2.0707275, -2.0707275, -2.0707275, -2.0707275, -2.0707275, -2.0707275, -2.0707275, -2.0707275, -3…
$ Est.Error <dbl> 0.08229748, 0.08229748, 0.08229748, 0.08229748, 0.08229748, 0.08229748, 0.08229748, 0.08229748, 0.08229748, 0.…
$ Q2.5      <dbl> -2.23457104, -2.23457104, -2.23457104, -2.23457104, -2.23457104, -2.23457104, -2.23457104, -2.23457104, -2.234…
$ Q97.5     <dbl> -1.90267898, -1.90267898, -1.90267898, -1.90267898, -1.90267898, -1.90267898, -1.90267898, -1.90267898, -1.902…
$ period    <int> 1, 2, 3, 4, 5, 6, 7, 8, 9, 1, 2, 3, 4, 5, 6, 7, 8, 9, 1, 2, 3, 4, 5, 6, 7, 8, 9, 1, 2, 3, 4, 5, 6, 7, 8, 9, 1,…
$ model     <fct> constant, constant, constant, constant, constant, constant, constant, constant, constant, linear, linear, line…

Now we’re in good shape to make and save our version of the top panel of Figure 12.1.

p1 <- f %>% 
  ggplot(aes(x = period, y = Estimate, color = model)) +
  geom_line() +
  scale_color_viridis_d(option = "A", direction = -1) +
  ylab("Fitted logit(hazard)") +
  coord_cartesian(ylim = -c(6, 0)) +
  theme(panel.grid = element_blank())

The bottom two panels require we redo our make_fitted() code from above, this time setting scale = "response".

nd <- tibble(period_f = 1:9)

f <- make_fitted(fit12.8, scale = "response") %>% rename(period = period_f)

nd <- tibble(period = 1:9)

f <- bind_rows(
  make_fitted(fit12.1, scale = "response"),  # constant
  make_fitted(fit12.2, scale = "response"),  # linear
  make_fitted(fit12.3, scale = "response"),  # quadratic
  make_fitted(fit12.4, scale = "response"),  # cubic
  f) %>%                                     # general
  mutate(model = factor(rep(models, each = 9),
                        levels = models))

Now make and save the bottom left panel for Figure 12.1.

p2 <- f %>% 
  filter(model %in% c("quadratic", "general")) %>% 
  
  ggplot(aes(x = period, y = Estimate, color = model)) +
  geom_line() +
  scale_color_viridis_d(option = "A", end = 0.5, direction = -1) +
  ylab("Fitted hazard") +
  coord_cartesian(ylim = c(0, 0.4)) +
  theme(legend.position = "none",
        panel.grid = element_blank())

Our f data will also work to make the final bottom right panel for the figure, but we’ll need to convert the Estimate values from the hazard metric to the survival-probability metric. In addition, we will need to add in values for when period = 0. Here we wrangle, plot, and save in one block.

new_rows <- tibble(
  Estimate = 0,
  period   = 0,
  model    = factor(c("quadratic", "general"),
                    levels = models))

p3 <- f %>% 
  filter(model %in% c("quadratic", "general")) %>% 
  select(Estimate, period, model) %>% 
  # add the `new_rows` data
  bind_rows(new_rows) %>%
  arrange(model, period) %>%
  group_by(model) %>% 
  # convert hazards to survival probabilities
  mutate(Estimate = cumprod(1 - Estimate)) %>%
  
  # plot!
  ggplot(aes(x = period, y = Estimate, color = model)) +
  geom_hline(yintercept = 0.5, color = "white") +
  geom_line() +
  scale_color_viridis_d(option = "A", end = 0.5, direction = -1) +
  scale_y_continuous("Fitted survival probability", breaks = c(0, 0.5, 1)) +
  coord_cartesian(ylim = c(0, 1)) +
  theme(legend.position = "none",
        panel.grid = element_blank())

Now combine the subplots and format a little with patchwork to make our version of Figure 12.1.

p1 + p2 + p3 + 
  plot_layout(guides = "collect") &
  scale_x_continuous("Years after hire", breaks = 0:9, limits = c(0, 9))

Instead of the two-row layout in the text, it seemed simpler to arrange the panels all in one row. This way we can let the full version of the line-color legend serve for all three panels.

12.1.2 Criteria for comparing alternative specification

The decline in the deviance statistic across models indicates that fit improves with increasing complexity of the temporal specification. To evaluate the magnitude of this decline, we must also account for the increased number of parameters in the model. You should not adopt a more complex specification if it fits no better than a simpler one. But if an alternative specification is (nearly) as good as the most general one, it may be “good enough.” At the same time, we would not want an alternative that performs measurably worse than we know we can do. (p. 415)

We won’t be comparing deviances with \(\chi^2\) tests, here. As to information criteria, we got ahead of the authors a bit and presented those comparisons in the last section. Although our use of the WAIC and the LOO is similar to Singer and Willett’s use of the AIC and BIC in that they yield no formal hypothesis test in the form of a \(p\)-value, their estimates and difference scores do come with standard errors.

In the middle of page 416, the authors focused on comparing the constant and linear models, the linear and quadratic models, and the quadratic and general models. The LOO and WAIC estimates for each were near identical. For the sake of simplicity, here are those three focused comparisons using the LOO.

# the constant and linear models
l1 <- loo_compare(fit12.1, fit12.2, criterion = "loo")

# the linear and quadratic models
l2 <- loo_compare(fit12.2, fit12.3, criterion = "loo")

# the quadratic and general models
l3 <- loo_compare(fit12.3, fit12.7, criterion = "loo")

l1 %>% print(simplify = F)
        elpd_diff se_diff elpd_loo se_elpd_loo p_loo  se_p_loo looic  se_looic
fit12.2    0.0       0.0  -435.5     22.1         1.7    0.1    871.1   44.1  
fit12.1  -84.3      11.7  -519.8     25.2         1.0    0.1   1039.6   50.3  
l2 %>% print(simplify = F)
        elpd_diff se_diff elpd_loo se_elpd_loo p_loo  se_p_loo looic  se_looic
fit12.3    0.0       0.0  -421.1     22.0         3.0    0.4    842.3   44.1  
fit12.2  -14.4       5.5  -435.5     22.1         1.7    0.1    871.1   44.1  
l3 %>% print(simplify = F)
        elpd_diff se_diff elpd_loo se_elpd_loo p_loo  se_p_loo looic  se_looic
fit12.3    0.0       0.0  -421.1     22.0         3.0    0.4    842.3   44.1  
fit12.7   -3.8       2.4  -424.9     22.5         9.3    1.1    849.9   44.9  

If we presume the LOO differences follow a normal distribution, we can use their point estimates and standard errors to plot those distributions using simulated data from good old rnorm().

library(tidybayes)

n <- 1e6
models <- c("linear - constant", "quadratic - linear", "quadratic - general")
set.seed(12)

# wrangle
tibble(loo_difference = c(rnorm(n, mean = l1[2, 1] * -2, sd = l1[2, 2] * 2),
                          rnorm(n, mean = l2[2, 1] * -2, sd = l2[2, 2] * 2),
                          rnorm(n, mean = l3[2, 1] * -2, sd = l3[2, 2] * 2))) %>% 
  mutate(models = factor(rep(models, each = n),
                         levels = models)) %>% 
  
  # plot!
  ggplot(aes(x = loo_difference)) +
  stat_halfeye(.width = c(0.5, 0.95), normalize = "panels") +
  scale_y_continuous(NULL, breaks = NULL) +
  labs(title = "LOO-difference simulations based on 1,000,000 draws",
       x = "difference distribution") +
  theme(panel.grid = element_blank()) +
  facet_wrap(~ models, scales = "free")

The LOO difference for the linear and constant models is decisive. The difference for the quadratic and linear models is fairly large on the information-criteria scale, but the uncertainty in that distribution is fairly large relative to its location (i.e., its mean), which might temper overly-strong conclusions about how much better the quadratic was compared to the linear. The comparison between the quadratic and the general produced a simulation with a modest location and rather large uncertainty relative to the magnitude of that location. All in all, “all signs point to the superiority of the quadratic specification, which fits nearly as well as the general mode, but with fewer parameters” (p. 416).

In the next page, Singer and Willett briefly focused on comparing the cubic and quadratic models. Here are their LOO and WAIC caparisons.

loo_compare(fit12.3, fit12.4, criterion = "loo") %>% print(simplify = F)
        elpd_diff se_diff elpd_loo se_elpd_loo p_loo  se_p_loo looic  se_looic
fit12.4    0.0       0.0  -420.5     22.1         3.9    0.5    841.1   44.1  
fit12.3   -0.6       2.2  -421.1     22.0         3.0    0.4    842.3   44.1  
loo_compare(fit12.3, fit12.4, criterion = "waic") %>% print(simplify = F)
        elpd_diff se_diff elpd_waic se_elpd_waic p_waic se_p_waic waic   se_waic
fit12.4    0.0       0.0  -420.5      22.1          3.9    0.5     841.1   44.1 
fit12.3   -0.6       2.2  -421.1      22.0          3.0    0.4     842.3   44.1 

In the text, the results for the AIC and BIC differed. Our LOO and WAIC results both agree with the AIC: the cubic model has a slightly lower LOO and WAIC estimate compared to the quadratic. However, the standard errors for the formal difference score are about twice the size of that difference and the absolute magnitude of the difference is rather small to begin with. Here’s what it looks like if we compare them using LOO weights, WAIC weights, and stacking weights.

model_weights(fit12.3, fit12.4, weights = "loo") %>% round(digits = 3)
fit12.3 fit12.4 
  0.354   0.646 
model_weights(fit12.3, fit12.4, weights = "waic") %>% round(digits = 3)
fit12.3 fit12.4 
  0.352   0.648 
model_weights(fit12.3, fit12.4, weights = "stacking") %>% round(digits = 3)
fit12.3 fit12.4 
  0.374   0.626 

Across all three weight comparisons, there was a modest edge for the quadratic model. But back to Singer and Willett:

Although decision rules cannot substitute for judgment, intuition, and common sense, we nevertheless conclude by offering two guidelines for selecting among alternative specifications:

  • If a smooth specification works nearly as well as the completely general one, appreciably better than all simpler ones, and no worse than all more complex ones, consider adopting it.
  • If no smooth specifications meet these criteria, retain the completely general specification.

If this decision process leads you to a polynomial specification, then you can interpret the model’s parameters easily, as we [will discuss in a bit]. (p. 417, emphasis in the original)

Before moving on, we might point out that our Bayesian brms-based framework offers a different option: model averaging. We plot the hazard and survival curves based on weighted averages of multiple models. The weights can be based on various criteria. One approach would be to use the model weights from the LOO or the WAIC. As an example, here we use the LOO weights for the quadratic and cubic models.

nd <- tibble(period = 1:9)

pp <- pp_average(
  fit12.3, fit12.4,
  weights = "loo",
  newdata = nd,
  method = "pp_expect") %>% 
  data.frame() %>% 
  bind_cols(nd)

The pp_average() function works much like fitted() or predict(). If you input models and perhaps newdata, it will return estimates that are the weighted averages of the specified models. With the weights = "loo" argument, we indicated our desired weights were those from the LOO, just as we computed earlier with the model_weights() function. With the method = "pp_expect" argument, we indicated we wanted fitted values like we would get from fitted().

Here we plot the results in terms of hazard and survival.

# hazard
p1 <- pp %>% 
  ggplot(aes(x = period)) +
  geom_ribbon(aes(ymin = Q2.5, ymax = Q97.5),
              alpha = 1/5) +
  geom_line(aes(y = Estimate)) +
  scale_x_continuous("Years after hire", breaks = 0:9, limits = c(0, 9)) +
  ylab("hazard") +
  theme(panel.grid = element_blank())

# survival
p2 <- pp %>% 
  select(-Est.Error) %>% 
  bind_rows(tibble(Estimate = 0, Q2.5 = 0, Q97.5 = 0, period = 0)) %>% 
  arrange(period) %>% 
  mutate_at(vars(Estimate:Q97.5), .funs = ~ cumprod(1 - .)) %>% 
  
  ggplot(aes(x = period)) +
  geom_hline(yintercept = 0.5, color = "white") +
  geom_ribbon(aes(ymin = Q2.5, ymax = Q97.5),
              alpha = 1/5) +
  geom_line(aes(y = Estimate)) +
  scale_x_continuous("Years after hire", breaks = 0:9) +
  scale_y_continuous("survival", breaks = c(0, 0.5, 1), limits = c(0, 1)) +
  theme(panel.grid = element_blank())

# combine
(p1 | p2) + 
  plot_annotation(title = "Behold the fitted hazard and survival curves based on a weighted\naverage of the quadratic and linear models!")

12.1.3 Interpreting parameters from linear, quadratic, and cubic specifications

“One advantage of a polynomial specification is that you can often interpret its parameters directly” (p. 417). For the polynomial models in this section, Singer and Willett used the \(TIME - c\) specification for period where \(c\) is a centering constant. They used \(c = 5\). Before we can refit our polynomial models with this parameterization, we’ll want to make a new period variable with this centering. We’ll call it period_5.

tenure_pp <- tenure_pp %>% 
  mutate(period_5 = period - 5)

# how do the two `period` variables compare?
tenure_pp %>% 
  distinct(period, period_5)
# A tibble: 9 × 2
  period period_5
   <dbl>    <dbl>
1      1       -4
2      2       -3
3      3       -2
4      4       -1
5      5        0
6      6        1
7      7        2
8      8        3
9      9        4

Now refit the quadratic model using period_5.

fit12.9 <- update(
  fit12.3,
  newdata = tenure_pp,
  event | trials(1) ~ 0 + Intercept + period_5 + I(period_5^2),
  chains = 4, cores = 4, iter = 2000, warmup = 1000,
  seed = 12,
  file = "fits/fit12.09")

Check the model summary.

print(fit12.9)
 Family: binomial 
  Links: mu = logit 
Formula: event | trials(1) ~ Intercept + period_5 + I(period_5^2) - 1 
   Data: tenure_pp (Number of observations: 1474) 
  Draws: 4 chains, each with iter = 2000; warmup = 1000; thin = 1;
         total post-warmup draws = 4000

Regression Coefficients:
            Estimate Est.Error l-95% CI u-95% CI Rhat Bulk_ESS Tail_ESS
Intercept      -1.41      0.11    -1.63    -1.20 1.00     2408     2602
period_5        0.61      0.06     0.50     0.74 1.00     2188     2668
Iperiod_5E2    -0.13      0.03    -0.18    -0.08 1.00     2159     2247

Draws were sampled using sampling(NUTS). For each parameter, Bulk_ESS
and Tail_ESS are effective sample size measures, and Rhat is the potential
scale reduction factor on split chains (at convergence, Rhat = 1).

Focusing just on the posterior means, this yields the following formula for the quadratic discrete-time hazard model: \(\operatorname{logit} \hat h (t_j) = \;\) -1.4129 \(\text{one } +\) 0.6123\((\text{time}_j - 5)\) -0.1279\((\text{time}_j - 5)^2\).

Singer and Willett used the term “flipover point” for the point at which the quadratic function reaches its peak or trough. If we let \(c\) be the centering constant for time variable, \(\alpha_1\) be the linear coefficient for time, and \(\alpha_2\) be the quadratic coefficient for time, we define the flipover point as

\[\text{flipover point} = [c - 1/2 (\alpha_1 / \alpha_2)].\]

Here’s what that looks like using the posterior samples.

as_draws_df(fit12.9) %>% 
  transmute(c  = 5,
            a1 = b_period_5,
            a2 = b_Iperiod_5E2) %>% 
  mutate(`flipover point` = c - 0.5 * (a1 / a2)) %>% 
  
  ggplot(aes(x = `flipover point`)) +
  stat_halfeye(.width = c(0.5, 0.95)) +
  scale_x_continuous(breaks = 7:12) +
  scale_y_continuous(NULL, breaks = NULL) +
  theme(panel.grid = element_blank())

Just as each parameter has a posterior distribution, the flipover point, which is a function of two of the parameters, also has a posterior distribution. To understand what this flipover distribution means, it might be helpful to look at it in another way. For that, we’ll employ fitted().

nd <- tibble(period = seq(from = 0, to = 12, by = 0.1)) %>% 
  mutate(period_5 = period - 5)

f <- fitted(fit12.9,
            newdata = nd,
            summary = F,
            scale = "linear") %>% 
  data.frame() %>% 
  pivot_longer(everything()) %>% 
  bind_cols(expand(nd,
                   iter = 1:4000,
                   nesting(period, period_5)))

f %>% 
  glimpse()
Rows: 484,000
Columns: 5
$ name     <chr> "X1", "X2", "X3", "X4", "X5", "X6", "X7", "X8", "X9", "X10", "X11", "X12", "X13", "X14", "X15", "X16", "X17", "…
$ value    <dbl> -8.876525, -8.652573, -8.431700, -8.213907, -7.999193, -7.787559, -7.579005, -7.373530, -7.171135, -6.971820, -…
$ iter     <int> 1, 1, 1, 1, 1, 1, 1, 1, 1, 1, 1, 1, 1, 1, 1, 1, 1, 1, 1, 1, 1, 1, 1, 1, 1, 1, 1, 1, 1, 1, 1, 1, 1, 1, 1, 1, 1, …
$ period   <dbl> 0.0, 0.1, 0.2, 0.3, 0.4, 0.5, 0.6, 0.7, 0.8, 0.9, 1.0, 1.1, 1.2, 1.3, 1.4, 1.5, 1.6, 1.7, 1.8, 1.9, 2.0, 2.1, 2…
$ period_5 <dbl> -5.0, -4.9, -4.8, -4.7, -4.6, -4.5, -4.4, -4.3, -4.2, -4.1, -4.0, -3.9, -3.8, -3.7, -3.6, -3.5, -3.4, -3.3, -3.…

Now make a logit hazard spaghetti plot.

f %>% 
  # how many lines would you like?
  filter(iter <= 30) %>% 
  
  ggplot(aes(x = period, y = value, group = iter)) +
  geom_line(alpha = 1/2) +
  ylab("logit hazard") +
  coord_cartesian(xlim = c(0, 11),
                  ylim = c(-5, 0)) +
  theme(panel.grid = element_blank())

To keep the plot manageable, we filtered to just the first 30 posterior draws. Each was depicted with its own hazard line. Note how each of those hazard lines peaks at a different point along the \(x\)-axis. Most peak somewhere around 7.4. Some take on notably higher values.

Now fit a cubic model using period_5, \((TIME_j - 5)\), as the measure of time.

fit12.10 <- update(
  fit12.4,
  newdata = tenure_pp,
  event | trials(1) ~ 0 + Intercept + period_5 + I(period_5^2) + I(period_5^3),
  chains = 4, cores = 4, iter = 2000, warmup = 1000,
  seed = 12,
  file = "fits/fit12.10")

Check the model summary.

print(fit12.10)
 Family: binomial 
  Links: mu = logit 
Formula: event | trials(1) ~ Intercept + period_5 + I(period_5^2) + I(period_5^3) - 1 
   Data: tenure_pp (Number of observations: 1474) 
  Draws: 4 chains, each with iter = 2000; warmup = 1000; thin = 1;
         total post-warmup draws = 4000

Regression Coefficients:
            Estimate Est.Error l-95% CI u-95% CI Rhat Bulk_ESS Tail_ESS
Intercept      -1.45      0.12    -1.68    -1.22 1.00     2435     2389
period_5        0.75      0.10     0.56     0.94 1.00     1899     1977
Iperiod_5E2    -0.11      0.03    -0.17    -0.07 1.00     2300     2313
Iperiod_5E3    -0.02      0.01    -0.04     0.00 1.00     1941     2060

Draws were sampled using sampling(NUTS). For each parameter, Bulk_ESS
and Tail_ESS are effective sample size measures, and Rhat is the potential
scale reduction factor on split chains (at convergence, Rhat = 1).

Focusing again on just the posterior means, this yields the following formula for the cubic discrete-time hazard model: \(\operatorname{logit} \hat h (t_j) =\;\) -1.4531 \(\text{one } +\) 0.7460\((\text{time}_j - 5)\) -0.1142\((\text{time}_j - 5)^2\) -0.0178\((\text{time}_j - 5)^3\). Now if we let \(c\), \(\alpha_1\) and \(\alpha_2\) retain their meanings from before and further let \(\alpha_3\) stand for the cubic term for time, we can define the two flipover points in the cubic logit hazard model as

\[\text{flipover points} = c + \frac{-\alpha_2 \pm \sqrt{\alpha_2^2 - 3 \alpha_1 \alpha_3}}{3 \alpha_3}.\]

Do you see that \(\pm\) sign in the numerator? That’s what gives us the two points. Now apply the formula to fit12.10 and plot.

# extract the posterior draws
draws <- as_draws_df(fit12.10) %>% 
  transmute(c  = 5,
            a1 = b_period_5,
            a2 = b_Iperiod_5E2,
            a3 = b_Iperiod_5E3)

# flipover point with "+" in the numerator
p1 <- draws %>% 
  mutate(`flipover point 1` = c + (- a2 + sqrt(a2^2 - 3 * a1 * a3)) / (3 * a3)) %>% 
  filter(!is.na(`flipover point 1`)) %>% 
  filter(`flipover point 1` > -50 & `flipover point 1` < 50) %>% 
  
  ggplot(aes(x = `flipover point 1`)) +
  stat_halfeyeh(.width = c(0.5, 0.95)) +
  annotate(geom = "text",
           x = -30, y = 0.85,
           label = "italic(c)+frac(-alpha[2]+sqrt(alpha[2]^2-3*alpha[1]*alpha[3]), 3*alpha[3])",
           hjust = 0, family = "Times", parse = T) +
  scale_y_continuous(NULL, breaks = NULL) +
  coord_cartesian(xlim = c(-30, 20))

# flipover point with "-" in the numerator
p2 <- draws %>% 
  mutate(`flipover point 2` = c + (- a2 - sqrt(a2^2 - 3 * a1 * a3)) / (3 * a3)) %>% 
  filter(!is.na(`flipover point 2`)) %>% 
  
  ggplot(aes(x = `flipover point 2`)) +
  stat_halfeyeh(.width = c(0.5, 0.95)) +
  annotate(geom = "text",
           x = 8.2, y = 0.85,
           label = "italic(c)+frac(-alpha[2]-sqrt(alpha[2]^2-3*alpha[1]*alpha[3]), 3*alpha[3])",
           hjust = 0, family = "Times", parse = T) +
  scale_y_continuous(NULL, breaks = NULL)

# combine!
(p1 | p2) & theme(panel.grid = element_blank())

The plot on the right looks similar to the flipover plot from fit12.9. But look at the massive uncertainty in the flipover point in the plot on the left. If you play around with the code, you’ll see the \(x\)-axis extends far beyond the boundaries in the plot. Another spaghetti plot might help show what’s going on.

# redifine the `newdata`
nd <- tibble(period = seq(from = -8, to = 11, by = 0.1)) %>% 
  mutate(period_5 = period - 5)

# employ `fitted()` and wrangle
f <- fitted(fit12.10,
            newdata = nd,
            summary = F,
            scale = "linear") %>% 
  data.frame() %>% 
  pivot_longer(everything()) %>% 
  bind_cols(expand(nd,
                   iter = 1:4000,
                   nesting(period, period_5)))

# plot!
f %>% 
  filter(iter <= 30) %>% 
  ggplot(aes(x = period, y = value, group = iter)) +
  geom_line(alpha = 1/2) +
  ylab("logit hazard") +
  coord_cartesian(xlim = c(-7, 10),
                  ylim = c(-13, 0)) +
  theme(panel.grid = element_blank())

On the region to the right of 0 on the \(x\)-axis, the plot looks a lot like the one for the quadratic model. But look at how wildly the lines fan out on the left side of 0. Since that’s the region where we find the second flipover point, all that uncertainty got baked into its marginal posterior. Just because I think it looks cool, here’s a version of that plot with lines corresponding to all 4,000 posterior draws.

f %>% 
  ggplot(aes(x = period, y = value, group = iter)) +
  geom_line(alpha = 1/10, linewidth = 1/10) +
  ylab("logit hazard") +
  coord_cartesian(xlim = c(-7, 10),
                  ylim = c(-13, 0)) +
  theme(panel.grid = element_blank())

12.3 Time-varying predictors

“Discrete-time survival analysis adopts naturally to the inclusion of time-varying predictors. Because models are fit using a person-period data set, a time-varying predictor simply takes on its appropriate value for each person in each period” (p. 427).

12.3.1 Assumptions underlying a model with time-varying predictors

Load the depression data from Wheaton, Rozell, and Hall (1997).

depression_pp <- read_csv("data/depression_pp.csv") %>% 
  # convert the column names to lower case
  rename_all(tolower)

glimpse(depression_pp)
Rows: 36,997
Columns: 22
$ id        <dbl> 1, 1, 1, 1, 1, 1, 1, 1, 1, 1, 1, 1, 1, 1, 1, 1, 1, 1, 1, 1, 1, 1, 1, 1, 1, 1, 1, 1, 1, 1, 1, 2, 2, 2, 2, 2, 2,…
$ onset     <dbl> NA, NA, NA, NA, NA, NA, NA, NA, NA, NA, NA, NA, NA, NA, NA, NA, NA, NA, NA, NA, NA, NA, NA, NA, NA, NA, NA, NA…
$ age       <dbl> 34, 34, 34, 34, 34, 34, 34, 34, 34, 34, 34, 34, 34, 34, 34, 34, 34, 34, 34, 34, 34, 34, 34, 34, 34, 34, 34, 34…
$ censor    <dbl> 1, 1, 1, 1, 1, 1, 1, 1, 1, 1, 1, 1, 1, 1, 1, 1, 1, 1, 1, 1, 1, 1, 1, 1, 1, 1, 1, 1, 1, 1, 1, 1, 1, 1, 1, 1, 1,…
$ censage   <dbl> 34, 34, 34, 34, 34, 34, 34, 34, 34, 34, 34, 34, 34, 34, 34, 34, 34, 34, 34, 34, 34, 34, 34, 34, 34, 34, 34, 34…
$ aged      <dbl> NA, NA, NA, NA, NA, NA, NA, NA, NA, NA, NA, NA, NA, NA, NA, NA, NA, NA, NA, NA, NA, NA, NA, NA, NA, NA, NA, NA…
$ female    <dbl> 1, 1, 1, 1, 1, 1, 1, 1, 1, 1, 1, 1, 1, 1, 1, 1, 1, 1, 1, 1, 1, 1, 1, 1, 1, 1, 1, 1, 1, 1, 1, 1, 1, 1, 1, 1, 1,…
$ nsibs     <dbl> 6, 6, 6, 6, 6, 6, 6, 6, 6, 6, 6, 6, 6, 6, 6, 6, 6, 6, 6, 6, 6, 6, 6, 6, 6, 6, 6, 6, 6, 6, 6, 2, 2, 2, 2, 2, 2,…
$ sibs12    <dbl> 0, 0, 0, 0, 0, 0, 0, 0, 0, 0, 0, 0, 0, 0, 0, 0, 0, 0, 0, 0, 0, 0, 0, 0, 0, 0, 0, 0, 0, 0, 0, 1, 1, 1, 1, 1, 1,…
$ sibs34    <dbl> 0, 0, 0, 0, 0, 0, 0, 0, 0, 0, 0, 0, 0, 0, 0, 0, 0, 0, 0, 0, 0, 0, 0, 0, 0, 0, 0, 0, 0, 0, 0, 0, 0, 0, 0, 0, 0,…
$ sibs56    <dbl> 1, 1, 1, 1, 1, 1, 1, 1, 1, 1, 1, 1, 1, 1, 1, 1, 1, 1, 1, 1, 1, 1, 1, 1, 1, 1, 1, 1, 1, 1, 1, 0, 0, 0, 0, 0, 0,…
$ sibs78    <dbl> 0, 0, 0, 0, 0, 0, 0, 0, 0, 0, 0, 0, 0, 0, 0, 0, 0, 0, 0, 0, 0, 0, 0, 0, 0, 0, 0, 0, 0, 0, 0, 0, 0, 0, 0, 0, 0,…
$ sibs9plus <dbl> 0, 0, 0, 0, 0, 0, 0, 0, 0, 0, 0, 0, 0, 0, 0, 0, 0, 0, 0, 0, 0, 0, 0, 0, 0, 0, 0, 0, 0, 0, 0, 0, 0, 0, 0, 0, 0,…
$ bigfamily <dbl> 1, 1, 1, 1, 1, 1, 1, 1, 1, 1, 1, 1, 1, 1, 1, 1, 1, 1, 1, 1, 1, 1, 1, 1, 1, 1, 1, 1, 1, 1, 1, 0, 0, 0, 0, 0, 0,…
$ period    <dbl> 4, 5, 6, 7, 8, 9, 10, 11, 12, 13, 14, 15, 16, 17, 18, 19, 20, 21, 22, 23, 24, 25, 26, 27, 28, 29, 30, 31, 32, …
$ event     <dbl> 0, 0, 0, 0, 0, 0, 0, 0, 0, 0, 0, 0, 0, 0, 0, 0, 0, 0, 0, 0, 0, 0, 0, 0, 0, 0, 0, 0, 0, 0, 0, 0, 0, 0, 0, 0, 0,…
$ pd        <dbl> 0, 0, 0, 0, 0, 0, 0, 0, 0, 0, 0, 0, 0, 0, 0, 0, 0, 0, 0, 0, 0, 0, 0, 0, 0, 0, 0, 0, 0, 0, 0, 0, 0, 0, 0, 0, 0,…
$ pdnow     <dbl> 0, 0, 0, 0, 0, 0, 0, 0, 0, 0, 0, 0, 0, 0, 0, 0, 0, 0, 0, 0, 0, 0, 0, 0, 0, 0, 0, 0, 0, 0, 0, 0, 0, 0, 0, 0, 0,…
$ one       <dbl> 1, 1, 1, 1, 1, 1, 1, 1, 1, 1, 1, 1, 1, 1, 1, 1, 1, 1, 1, 1, 1, 1, 1, 1, 1, 1, 1, 1, 1, 1, 1, 1, 1, 1, 1, 1, 1,…
$ age_18    <dbl> -14, -13, -12, -11, -10, -9, -8, -7, -6, -5, -4, -3, -2, -1, 0, 1, 2, 3, 4, 5, 6, 7, 8, 9, 10, 11, 12, 13, 14,…
$ age_18sq  <dbl> 196, 169, 144, 121, 100, 81, 64, 49, 36, 25, 16, 9, 4, 1, 0, 1, 4, 9, 16, 25, 36, 49, 64, 81, 100, 121, 144, 1…
$ age_18cub <dbl> -2744, -2197, -1728, -1331, -1000, -729, -512, -343, -216, -125, -64, -27, -8, -1, 0, 1, 8, 27, 64, 125, 216, …

Here is the participant age range.

range(depression_pp$age)
[1] 17 57

We might count how many participants experienced a parental divorce, pd, like this.

depression_pp %>% 
  group_by(id) %>% 
  summarise(pd = if_else(sum(pd) > 0, 1, 0)) %>% 
  ungroup() %>% 
  count(pd) %>% 
  mutate(percent = 100 * n / sum(n))
# A tibble: 2 × 3
     pd     n percent
  <dbl> <int>   <dbl>
1     0  1248    89.6
2     1   145    10.4

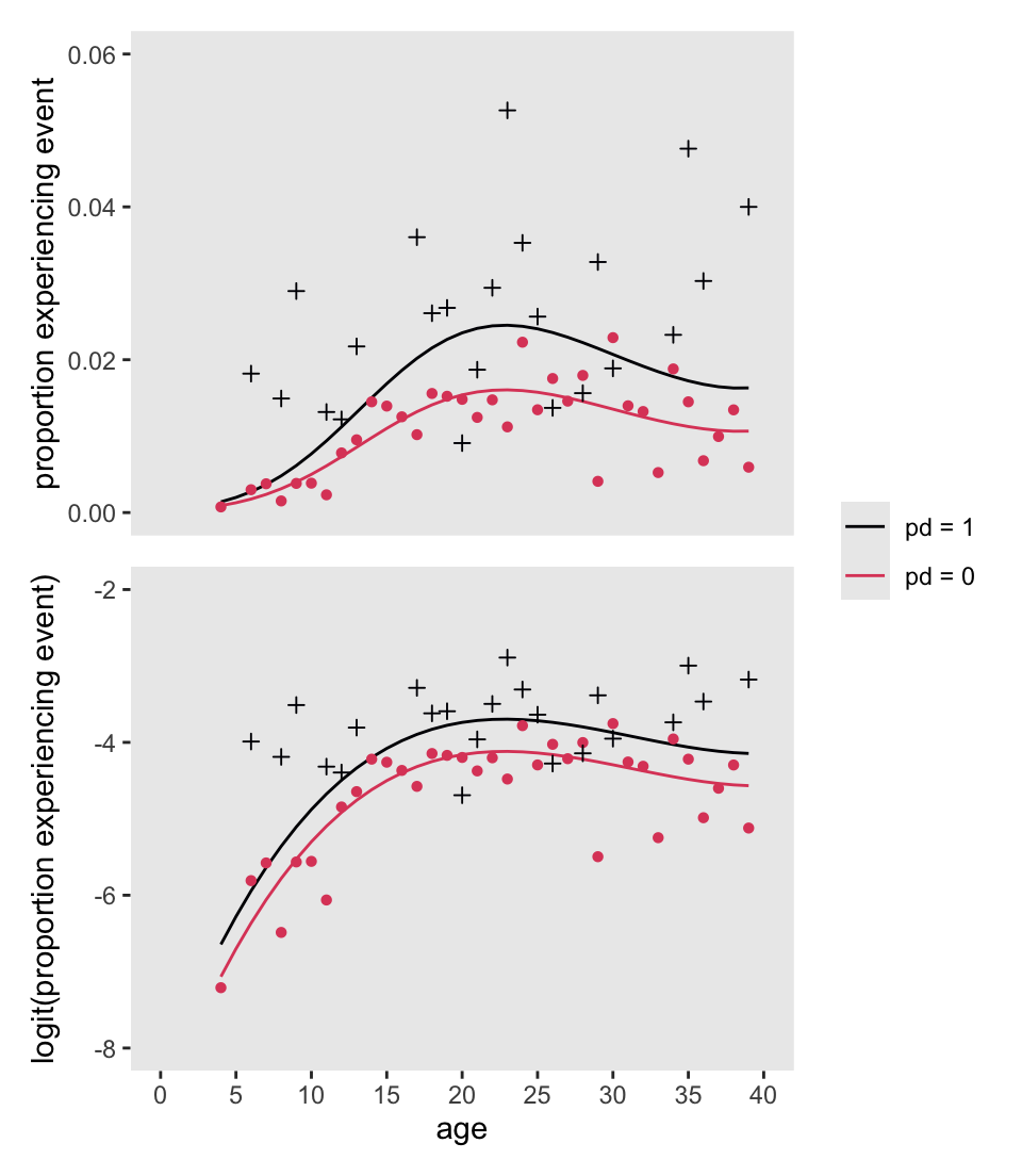
Here we fit the discrete hazard model based on a quadratic treatment of \(\text{age} - 18\) with and the time-varying predictor pd and without/with the time-invariant predictor female.

# 16.3771 minutes
fit12.16 <- brm(
  data = depression_pp,
  family = binomial,
  event | trials(1) ~ 0 + Intercept + age_18 + I(age_18^2) + I(age_18^3) + pd,
  prior(normal(0, 4), class = b),
  chains = 4, cores = 4, iter = 2000, warmup = 1000,
  seed = 12,
  file = "fits/fit12.16")

# 20.49633 minutes
fit12.17 <- brm(
  data = depression_pp,
  family = binomial,
  event | trials(1) ~ 0 + Intercept + age_18 + I(age_18^2) + I(age_18^3) + pd + female,
  prior(normal(0, 4), class = b),
  chains = 4, cores = 4, iter = 2000, warmup = 1000,
  seed = 12,
  file = "fits/fit12.17")

Check the summaries.

print(fit12.16)
 Family: binomial 
  Links: mu = logit 
Formula: event | trials(1) ~ 0 + Intercept + age_18 + I(age_18^2) + I(age_18^3) + pd 
   Data: depression_pp (Number of observations: 36997) 
  Draws: 4 chains, each with iter = 2000; warmup = 1000; thin = 1;
         total post-warmup draws = 4000

Regression Coefficients:
          Estimate Est.Error l-95% CI u-95% CI Rhat Bulk_ESS Tail_ESS
Intercept    -4.25      0.07    -4.40    -4.11 1.00     1695     2016
age_18        0.06      0.01     0.04     0.08 1.00     1690     2160
Iage_18E2    -0.01      0.00    -0.01    -0.01 1.00     2743     2942
Iage_18E3     0.00      0.00     0.00     0.00 1.00     2287     2843
pd            0.42      0.16     0.08     0.73 1.00     2187     1952

Draws were sampled using sampling(NUTS). For each parameter, Bulk_ESS
and Tail_ESS are effective sample size measures, and Rhat is the potential
scale reduction factor on split chains (at convergence, Rhat = 1).
print(fit12.17)
 Family: binomial 
  Links: mu = logit 
Formula: event | trials(1) ~ 0 + Intercept + age_18 + I(age_18^2) + I(age_18^3) + pd + female 
   Data: depression_pp (Number of observations: 36997) 
  Draws: 4 chains, each with iter = 2000; warmup = 1000; thin = 1;
         total post-warmup draws = 4000

Regression Coefficients:
          Estimate Est.Error l-95% CI u-95% CI Rhat Bulk_ESS Tail_ESS
Intercept    -4.59      0.11    -4.80    -4.38 1.00     1696     2080
age_18        0.06      0.01     0.04     0.08 1.00     1568     1848
Iage_18E2    -0.01      0.00    -0.01    -0.01 1.00     3259     3022
Iage_18E3     0.00      0.00     0.00     0.00 1.00     2284     2521
pd            0.41      0.16     0.08     0.72 1.00     2404     1984
female        0.54      0.11     0.33     0.75 1.00     1583     2038

Draws were sampled using sampling(NUTS). For each parameter, Bulk_ESS
and Tail_ESS are effective sample size measures, and Rhat is the potential
scale reduction factor on split chains (at convergence, Rhat = 1).

Before we make our version of Figure 12.4, we’ll need to make an aggregated version of the data, which will allow us to replicate the dots and plus signs. We’ll use the same basic wrangling steps from when we made sex_aggregated from back in Chapter 11.

depression_aggregated <- depression_pp %>% 
  mutate(event = if_else(event == 1, "event", "no_event")) %>% 
  group_by(age_18) %>% 
  count(event, pd) %>% 
  ungroup() %>% 
  complete(age_18, event, pd) %>% 
  pivot_wider(names_from = event,
              values_from = n) %>% 
  mutate(pd    = factor(str_c("pd = ", pd), levels = str_c("pd = ", 1:0)),
         age   = age_18 + 18,
         total = event + no_event) %>% 
  mutate(proportion = event / total) %>% 
  mutate(logit = log(proportion / (1 - proportion)))

depression_aggregated
# A tibble: 72 × 8
   age_18 pd     event no_event   age total proportion logit
    <dbl> <fct>  <int>    <int> <dbl> <int>      <dbl> <dbl>
 1    -14 pd = 0     1     1353     4  1354   0.000739 -7.21
 2    -14 pd = 1    NA       39     4    NA  NA        NA   
 3    -13 pd = 0    NA     1344     5    NA  NA        NA   
 4    -13 pd = 1    NA       48     5    NA  NA        NA   
 5    -12 pd = 0     4     1333     6  1337   0.00299  -5.81
 6    -12 pd = 1     1       54     6    55   0.0182   -3.99
 7    -11 pd = 0     5     1322     7  1327   0.00377  -5.58
 8    -11 pd = 1    NA       60     7    NA  NA        NA   
 9    -10 pd = 0     2     1313     8  1315   0.00152  -6.49
10    -10 pd = 1     1       66     8    67   0.0149   -4.19
# ℹ 62 more rows

Now make Figure 12.4.

nd <- crossing(age_18 = -14:21,
               pd     = 0:1) %>% 
  mutate(age = age_18 + 18)
  
# hazard (top panel)
p1 <- fitted(fit12.16, newdata = nd) %>% 
  data.frame() %>% 
  bind_cols(nd) %>% 
  mutate(pd = factor(str_c("pd = ", pd),
                     levels = str_c("pd = ", 1:0))) %>% 
  
  ggplot(aes(x = age, group = pd, color = pd)) +
  geom_line(aes(y = Estimate)) +
  geom_point(data = depression_aggregated,
             aes(y = proportion, shape = pd),
             show.legend = F) +
  scale_x_continuous(NULL, breaks = NULL, limits = c(0, 40)) +
  scale_y_continuous("proportion experiencing event", limits = c(0, 0.06))

# logit(hazard) (top panel)
p2 <- fitted(fit12.16,
             newdata = nd,
             scale = "linear") %>% 
  data.frame() %>% 
  bind_cols(nd) %>% 
  mutate(pd = factor(str_c("pd = ", pd),
                     levels = str_c("pd = ", 1:0))) %>% 
  
  ggplot(aes(x = age, group = pd, color = pd)) +
  geom_line(aes(y = Estimate)) +
  geom_point(data = depression_aggregated,
             aes(y = logit, shape = pd),
             show.legend = F) +
  scale_x_continuous(breaks = 0:8 * 5, limits = c(0, 40)) +
  scale_y_continuous("logit(proportion experiencing event)", limits = c(-8, -2))

# combine
(
  (p1 / p2) & 
  scale_shape_manual(values = c(3, 16)) &
  scale_color_viridis_d(NULL, option = "A", end = 0.6) &
  theme(panel.grid = element_blank())
) +
  plot_layout(guides = "collect")

12.3.2 Interpreting and displaying time-varying predictors’ effects

We jumped the gun a little, but to repeat:

you can fit a discrete-time hazard model with time-varying predictors using exactly the same strategies presented in chapter 11. In the person-period data set, use a logistic regression routine to regress the event indicator on variables representing the main effect of TIME and the desired predictors. (pp. 434–435, emphasis in the original)

For example, here is the statistical formula we used when we fit fit12.17:

\[ \begin{align} \text{event}_{ij} & = \operatorname{Binomial}(n = 1, p_{ij}) \\ \operatorname{logit} (p_{ij}) & = [\alpha_0 + \alpha_1 (\text{age}_{ij} - 18) + \alpha_2 (\text{age}_{ij} - 18)^2 + \alpha_3 (\text{age}_{ij} - 18)^3] \\ & \; \; + [\beta_1 \text{pd}_{ij} + \beta_2 \text{female}_{i}] \\ \alpha_0, ..., \alpha_3 & \sim \operatorname{Normal}(0, 4) \\ \beta_1 \text{ and } \beta_2 & \sim \operatorname{Normal}(0, 4), \end{align} \]

where \(\operatorname{logit} (p_{ij}) = \operatorname{logit} \hat h(t_{ij})\). If you’d like to compare our results for those displayed by Singer and Willett in Equation 12.8, here are our posterior means.

fixef(fit12.17)[, 1] %>% round(digits = 4)
Intercept    age_18 Iage_18E2 Iage_18E3        pd    female 
  -4.5858    0.0599   -0.0074    0.0002    0.4082    0.5403 

The values are pretty close. Though we won’t compare fit12.16 and fit12.17 using deviance values, we will use information criteria.

fit12.16 <- add_criterion(fit12.16, criterion = "waic")
fit12.17 <- add_criterion(fit12.17, criterion = "waic")

loo_compare(fit12.16, fit12.17, criterion = "waic") %>% print(simplify = F)
         elpd_diff se_diff elpd_waic se_elpd_waic p_waic  se_p_waic waic    se_waic
fit12.17     0.0       0.0 -2075.7      86.0          6.0     0.4    4151.3   172.0
fit12.16   -11.9       5.0 -2087.6      86.4          4.9     0.4    4175.2   172.8
model_weights(fit12.16, fit12.17, weights = "waic") %>% round(digits = 3)
fit12.16 fit12.17 
       0        1 

Based on both the WAIC difference and the WAIC weights, fit12.17 is the clear favorite. From that model, Here’s a plot of the anti-logged (i.e., exponentiated) posteriors for pd and female, which yields their odds ratios.

as_draws_df(fit12.17) %>% 
  pivot_longer(b_pd:b_female) %>% 
  mutate(`odds ratio` = exp(value)) %>% 
  
  ggplot(aes(x = `odds ratio`, y = name)) +
  stat_halfeye(.width = c(0.5, 0.95), normalize = "xy") +
  ylab(NULL) +
  coord_cartesian(ylim = c(1.4, 2.4)) +
  theme(panel.grid = element_blank())

Here is our version of Figure 12.5.

nd <- crossing(female = 0:1,
               pd     = 0:1) %>% 
  expand_grid(age_18 = -14:21) %>% 
  mutate(age = age_18 + 18)
  
f <- fitted(fit12.17, newdata = nd) %>% 
  data.frame() %>% 
  bind_cols(nd) %>% 
  mutate(sex = if_else(female == 0, "male", "female"),
         pd  = factor(str_c("pd = ", pd),
                      levels = str_c("pd = ", 1:0))) 

# hazard (top panel)
p1 <- f %>% 
  ggplot(aes(x = age, group = pd, color = pd, fill = pd)) +
  geom_ribbon(aes(ymin = Q2.5, ymax = Q97.5),
              alpha = 1/5, linewidth = 0) +
  geom_line(aes(y = Estimate)) +
  scale_x_continuous(NULL, breaks = NULL, limits = c(0, 40)) +
  scale_y_continuous("fitted hazard", limits = c(0, 0.04))

# survival (bottom panel)
p2 <- f %>%
  group_by(sex, pd) %>% 
  mutate_at(vars(Estimate, Q2.5, Q97.5), .funs = ~cumprod(1 - .)) %>% 
  
  ggplot(aes(x = age, group = pd, color = pd, fill = pd)) +
  geom_hline(yintercept = 0.5, color = "white") +
  geom_ribbon(aes(ymin = Q2.5, ymax = Q97.5),
              alpha = 1/5, linewidth = 0) +
  geom_line(aes(y = Estimate)) +
  scale_x_continuous(breaks = 0:8 * 5, limits = c(0, 40)) +
  scale_y_continuous("fitted survival probability", limits = c(0, 1)) +
  theme(strip.background.x = element_blank(),
        strip.text.x = element_blank())

# combine
(
  (p1 / p2) & 
  scale_fill_viridis_d(NULL, option = "A", end = 0.6) &
  scale_color_viridis_d(NULL, option = "A", end = 0.6) &
  theme(panel.grid = element_blank()) &
  facet_wrap(~ sex)
) +
  plot_layout(guides = "collect")

Note how with this many age levels, our discrete-time models are beginning to look like continuous-time models.

12.3.3 Two caveats: The problems of state and rate dependence

A time-varying predictor is state-dependent if its values at time \(t_j\) are affected by an individual’s state (event occurrence status) at time \(t_j\): \(EVENT_{ij}\). A time-varying predictor is rate-dependent if its values at time \(t_j\) are affected by the individuals value of hazard (the “rate”) at time \(t_j\): \(h (t_{ij})\). (p. 440, emphasis in the original)

12.4 The linear additivity assumption: Uncovering violations and simple solutions

Because the focus on hazard causes you to analyze group level summaries, model violations can be more difficult to discern [than in other kinds of regression models]. We therefore devote this section to introducing practical strategies for diagnosing and correcting violations of the linear additivity assumption. (p. 443)

12.4.1 Interactions between substantive predictors

We do not advocate fishing expeditions. Open searches for interactions can be counterproductive, leading to the discovery of many “effects” that are little more than sampling variation. But there are at least two circumstances when a guided search for interactions is crucial:

  • When theory (or common sense!) suggests that two (or more) predictors will interact in the prediction of the outcome. If you hypothesize the existence of interactions a priori, your search will be targeted and efficient.
  • When examining the effects of “question” predictor(s), variables whose effects you intend to emphasize in your report. You need to be certain that these predictors’ effects do not differ according ot levels of other important predictors, lest you misinterpret your major findings.

With this in mind, we now demonstrate how to (1) explore your data for the possibility of statistical interactions; and (2) include the additional appropriate terms when necessary. (p. 444, emphasis in the original)

Load the data from Keiley and Martin (2002).1

1 In their reference section, Singer and Willett indicated this was a manuscript submitted for publication. To my knowledge, it was never published.

firstarrest_pp <- read_csv("data/firstarrest_pp.csv") %>% 
  # convert the column names to lower case
  rename_all(tolower)

glimpse(firstarrest_pp)
Rows: 15,834
Columns: 19
$ id     <dbl> 1, 1, 1, 1, 1, 1, 1, 1, 2, 2, 2, 2, 2, 2, 2, 2, 2, 2, 2, 3, 3, 3, 3, 3, 3, 3, 3, 3, 3, 4, 4, 4, 4, 4, 4, 4, 4, 4,…
$ time   <dbl> 15, 15, 15, 15, 15, 15, 15, 15, 29, 29, 29, 29, 29, 29, 29, 29, 29, 29, 29, 17, 17, 17, 17, 17, 17, 17, 17, 17, 1…
$ censor <dbl> 0, 0, 0, 0, 0, 0, 0, 0, 1, 1, 1, 1, 1, 1, 1, 1, 1, 1, 1, 0, 0, 0, 0, 0, 0, 0, 0, 0, 0, 1, 1, 1, 1, 1, 1, 1, 1, 1,…
$ abused <dbl> 0, 0, 0, 0, 0, 0, 0, 0, 1, 1, 1, 1, 1, 1, 1, 1, 1, 1, 1, 0, 0, 0, 0, 0, 0, 0, 0, 0, 0, 1, 1, 1, 1, 1, 1, 1, 1, 1,…
$ black  <dbl> 0, 0, 0, 0, 0, 0, 0, 0, 0, 0, 0, 0, 0, 0, 0, 0, 0, 0, 0, 0, 0, 0, 0, 0, 0, 0, 0, 0, 0, 0, 0, 0, 0, 0, 0, 0, 0, 0,…
$ ablack <dbl> 0, 0, 0, 0, 0, 0, 0, 0, 0, 0, 0, 0, 0, 0, 0, 0, 0, 0, 0, 0, 0, 0, 0, 0, 0, 0, 0, 0, 0, 0, 0, 0, 0, 0, 0, 0, 0, 0,…
$ d8     <dbl> 1, 0, 0, 0, 0, 0, 0, 0, 1, 0, 0, 0, 0, 0, 0, 0, 0, 0, 0, 1, 0, 0, 0, 0, 0, 0, 0, 0, 0, 1, 0, 0, 0, 0, 0, 0, 0, 0,…
$ d9     <dbl> 0, 1, 0, 0, 0, 0, 0, 0, 0, 1, 0, 0, 0, 0, 0, 0, 0, 0, 0, 0, 1, 0, 0, 0, 0, 0, 0, 0, 0, 0, 1, 0, 0, 0, 0, 0, 0, 0,…
$ d10    <dbl> 0, 0, 1, 0, 0, 0, 0, 0, 0, 0, 1, 0, 0, 0, 0, 0, 0, 0, 0, 0, 0, 1, 0, 0, 0, 0, 0, 0, 0, 0, 0, 1, 0, 0, 0, 0, 0, 0,…
$ d11    <dbl> 0, 0, 0, 1, 0, 0, 0, 0, 0, 0, 0, 1, 0, 0, 0, 0, 0, 0, 0, 0, 0, 0, 1, 0, 0, 0, 0, 0, 0, 0, 0, 0, 1, 0, 0, 0, 0, 0,…
$ d12    <dbl> 0, 0, 0, 0, 1, 0, 0, 0, 0, 0, 0, 0, 1, 0, 0, 0, 0, 0, 0, 0, 0, 0, 0, 1, 0, 0, 0, 0, 0, 0, 0, 0, 0, 1, 0, 0, 0, 0,…
$ d13    <dbl> 0, 0, 0, 0, 0, 1, 0, 0, 0, 0, 0, 0, 0, 1, 0, 0, 0, 0, 0, 0, 0, 0, 0, 0, 1, 0, 0, 0, 0, 0, 0, 0, 0, 0, 1, 0, 0, 0,…
$ d14    <dbl> 0, 0, 0, 0, 0, 0, 1, 0, 0, 0, 0, 0, 0, 0, 1, 0, 0, 0, 0, 0, 0, 0, 0, 0, 0, 1, 0, 0, 0, 0, 0, 0, 0, 0, 0, 1, 0, 0,…
$ d15    <dbl> 0, 0, 0, 0, 0, 0, 0, 1, 0, 0, 0, 0, 0, 0, 0, 1, 0, 0, 0, 0, 0, 0, 0, 0, 0, 0, 1, 0, 0, 0, 0, 0, 0, 0, 0, 0, 1, 0,…
$ d16    <dbl> 0, 0, 0, 0, 0, 0, 0, 0, 0, 0, 0, 0, 0, 0, 0, 0, 1, 0, 0, 0, 0, 0, 0, 0, 0, 0, 0, 1, 0, 0, 0, 0, 0, 0, 0, 0, 0, 1,…
$ d17    <dbl> 0, 0, 0, 0, 0, 0, 0, 0, 0, 0, 0, 0, 0, 0, 0, 0, 0, 1, 0, 0, 0, 0, 0, 0, 0, 0, 0, 0, 1, 0, 0, 0, 0, 0, 0, 0, 0, 0,…
$ d18    <dbl> 0, 0, 0, 0, 0, 0, 0, 0, 0, 0, 0, 0, 0, 0, 0, 0, 0, 0, 1, 0, 0, 0, 0, 0, 0, 0, 0, 0, 0, 0, 0, 0, 0, 0, 0, 0, 0, 0,…
$ period <dbl> 8, 9, 10, 11, 12, 13, 14, 15, 8, 9, 10, 11, 12, 13, 14, 15, 16, 17, 18, 8, 9, 10, 11, 12, 13, 14, 15, 16, 17, 8, …
$ event  <dbl> 0, 0, 0, 0, 0, 0, 0, 1, 0, 0, 0, 0, 0, 0, 0, 0, 0, 0, 0, 0, 0, 0, 0, 0, 0, 0, 0, 0, 1, 0, 0, 0, 0, 0, 0, 0, 0, 0,…

The total \(N\) is 1553.

firstarrest_pp %>% 
  distinct(id) %>% 
  count()
# A tibble: 1 × 1
      n
  <int>
1  1553

\(n = 887\) were abused.

firstarrest_pp %>% 
  filter(abused == 1) %>% 
  distinct(id) %>% 
  count()
# A tibble: 1 × 1
      n
  <int>
1   887

\(n = 342\) were arrested between the ages of 8 and 18.

firstarrest_pp %>% 
  filter(censor == 0) %>% 
  distinct(id) %>% 
  count()
# A tibble: 1 × 1
      n
  <int>
1   342

Since the two focal predictors in this section with be black and abused, here are the counts broken down by both.

firstarrest_pp %>% 
  group_by(id) %>% 
  slice(1) %>% 
  ungroup() %>% 
  count(black, abused) %>% 
  mutate(percent = 100 * n / sum(n))
# A tibble: 4 × 4
  black abused     n percent
  <dbl>  <dbl> <int>   <dbl>
1     0      0   434    27.9
2     0      1   605    39.0
3     1      0   232    14.9
4     1      1   282    18.2

Here’s how to hand compute the values for the sample logit(hazard) functions depicted in the top panels of Figure 12.6.

# wrangle
firstarrest_pp %>% 
  mutate(event = if_else(event == 1, "event", "no_event")) %>% 
  group_by(period)  %>% 
  count(event, black, abused) %>% 
  ungroup() %>% 
  pivot_wider(names_from = event,
              values_from = n) %>% 
  drop_na(event) %>% 
  mutate(total  = event + no_event,
         logit  = log(event / total / (1 - event / total)),
         race   = factor(ifelse(black == 1, "Black", "White"),
                         levels = c("White", "Black")),
         abused = ifelse(abused == 1, "abused", "not abused") %>% factor()) %>% 
  
  # plot!
  ggplot(aes(x = period, y = logit)) +
  geom_line(aes(color = abused, group = abused)) +
  scale_color_viridis_d(NULL, option = "A", end = 0.6, direction = -1) +
  scale_x_continuous("age", breaks = 7:19, limits = c(7, 19)) +
  scale_y_continuous("sample logit(hazard)", limits = c(-7, -2)) +
  theme(panel.grid = element_blank()) +
  facet_wrap(~ race)

For kicks and giggles, it might informative to fit a series of subset Bayesian models to make similar versions of those sample hazard functions. Before we fit the models, let’s make our lives easier and make a factor version of our time variable, period.

firstarrest_pp <- firstarrest_pp %>% 
  mutate(period_f = factor(period))

Fit the four subset models.

# white, not abused
fit12.18 <- brm(
  data = firstarrest_pp %>% filter(black == 0 & abused == 0),
  family = binomial,
  event | trials(1) ~ 0 + period_f,
  prior(normal(0, 4), class = b),
  chains = 4, cores = 4, iter = 2000, warmup = 1000,
  seed = 12,
  file = "fits/fit12.18")

# white, abused
fit12.19 <- update(
  fit12.18,
  newdata = firstarrest_pp %>% filter(black == 0 & abused == 1),
  chains = 4, cores = 4, iter = 2000, warmup = 1000,
  seed = 12,
  file = "fits/fit12.19")

# black, not abused
fit12.20 <- update(
  fit12.18,
  newdata = firstarrest_pp %>% filter(black == 1 & abused == 0),
  chains = 4, cores = 4, iter = 2000, warmup = 1000,
  seed = 12,
  file = "fits/fit12.20")

# black, abused
fit12.21 <- update(
  fit12.18,
  newdata = firstarrest_pp %>% filter(black == 1 & abused == 1),
  chains = 4, cores = 4, iter = 2000, warmup = 1000,
  seed = 12,
  file = "fits/fit12.21")

We might use fitted() via our custom make_fitted() function to perform some of the pre-plotting computation and wrangling.

nd <- tibble(period_f = 8:18)

# this will simplify the `mutate()` code below
models <- c("constant", "linear", "quadratic", "cubic", "general")

f <- bind_rows(
  make_fitted(fit12.18, scale = "linear"),      # white, not abused
  make_fitted(fit12.19, scale = "linear"),      # white, abused
  make_fitted(fit12.20, scale = "linear"),      # black, not abused
  make_fitted(fit12.21, scale = "linear")) %>%  # black, abused
  mutate(race  = factor(rep(c("White", "Black"), each = n() / 2),
                        levels = c("White", "Black")),
         abuse = rep(c("not abused", "abused", "not abused", "abused"), each = n() / 4))

# what have we done?
glimpse(f)
Rows: 44
Columns: 7
$ Estimate  <dbl> -6.099248, -7.792390, -5.430479, -4.484542, -7.799931, -4.127774, -3.844096, -3.041197, -3.663457, -3.644977, …
$ Est.Error <dbl> 0.9356986, 1.7693566, 0.7074858, 0.4496668, 1.8320148, 0.3864176, 0.3437310, 0.2384953, 0.3143522, 0.3274626, …
$ Q2.5      <dbl> -8.195173, -11.848842, -7.065758, -5.438153, -12.216967, -4.966447, -4.554072, -3.531641, -4.327254, -4.347736…
$ Q97.5     <dbl> -4.613263, -5.187907, -4.278036, -3.678533, -5.147071, -3.439456, -3.212598, -2.600326, -3.098999, -3.045191, …
$ period_f  <int> 8, 9, 10, 11, 12, 13, 14, 15, 16, 17, 18, 8, 9, 10, 11, 12, 13, 14, 15, 16, 17, 18, 8, 9, 10, 11, 12, 13, 14, …
$ race      <fct> White, White, White, White, White, White, White, White, White, White, White, White, White, White, White, White…
$ abuse     <chr> "not abused", "not abused", "not abused", "not abused", "not abused", "not abused", "not abused", "not abused"…

Now plot.

f %>% 
  ggplot(aes(x = period_f, y = Estimate, group = abuse, color = abuse)) +
  geom_line() +
  scale_color_viridis_d(NULL, option = "A", end = 0.6, direction = -1) +
  scale_x_continuous("age", breaks = 7:19, limits = c(7, 19)) +
  ylab("sample logit(hazard)") +
  theme(panel.grid = element_blank()) +
  facet_wrap(~ race)

Notice how this looks different from the version of the plot, above, in that there are five points with very low values on the \(y\)-axis. Did you notice the drop_na(event) line in the code when we computed the sample logit(hazard) values by hand? Those points with missing values in the data are what caused those very low log(hazard) estimates in the models. Next we’ll fit the primary statistical models with both black and abused, without and with their interaction term, based on the full data set. You’ll see that when we use all cases, those odd low logit(hazard) values go away.

fit12.22 <- brm(
  data = firstarrest_pp,
  family = binomial,
  event | trials(1) ~ 0 + d8 + d9 + d10  + d11  + d12  + d13  + d14  + d15  + d16  + d17  + d18 + abused + black,
  prior(normal(0, 4), class = b),
  chains = 4, cores = 4, iter = 2000, warmup = 1000,
  seed = 12,
  file = "fits/fit12.22")

fit12.23 <- update(
  fit12.22,
  newdata = firstarrest_pp,
  event | trials(1) ~ 0 + d8 + d9 + d10  + d11  + d12  + d13  + d14  + d15  + d16  + d17  + d18 + abused + black + abused:black,
  chains = 4, cores = 4, iter = 2000, warmup = 1000,
  seed = 12,
  file = "fits/fit12.23")

Let’s compare the models with information criteria.

fit12.22 <- add_criterion(fit12.22, criterion = "waic")
fit12.23 <- add_criterion(fit12.23, criterion = "waic")

loo_compare(fit12.22, fit12.23, criterion = "waic") %>% print(simplify = F)
         elpd_diff se_diff elpd_waic se_elpd_waic p_waic  se_p_waic waic    se_waic
fit12.23     0.0       0.0 -1538.7      65.3         13.8     1.1    3077.3   130.6
fit12.22    -1.2       2.2 -1539.8      65.3         13.0     1.0    3079.7   130.7
model_weights(fit12.22, fit12.23, weights = "waic") %>% round(digits = 3)
fit12.22 fit12.23 
   0.237    0.763 

Our results diverge a bit from those in the text. For the deviance test on page 446, Singer and Willett reported a difference of \(4.05 \; (p < .05, \textit{df} = 1)\) in favor of the full model (i.e., fit12.23). Though both our WAIC difference score and the WAIC weights favor fit12.23, it’s by a hair.

“As in linear (or logistic) regression, we interpret interaction effects by simultaneously considering all the constituent parameters, for the cross-product term and its main-effect components” (p. 446, emphasis in the original). Rather than the point-estimate table Singer and Willett displayed at the bottom of the page, we’ll present the full posterior distributions odds ratios in a faceted plot.

as_draws_df(fit12.23) %>%
  expand_grid(abused = 0:1,
              black  = 0:1) %>% 
  mutate(`odds ratio` = exp(b_abused * abused + b_black * black  + `b_abused:black` * abused * black),
         abused       = str_c("abused = ", abused),
         black        = str_c("black = ", black)) %>% 
  
  ggplot(aes(x = `odds ratio`)) +
  stat_halfeye(.width = 0.95, normalize = "panels") +
  scale_y_continuous(NULL, breaks = NULL) +
  theme(panel.grid = element_blank()) +
  facet_grid(abused ~ black)

Here’s our version of the lower panel of Figure 12.6.

# define the `newdata`
nd <- firstarrest_pp %>% 
  distinct(abused, black, d8, d9, d10, d11, d12, d13, d14, d15, d16, d17, d18, period)

# use `fitted()` and wrangle
make_fitted(fit12.23, scale = "linear") %>% 
  mutate(abused = ifelse(abused == 1, "abused", "not abused") %>% factor(),
         sex    = factor(ifelse(black == 1, "Black", "White"),
                         levels = c("White", "Black"))) %>% 
  
  # plot!
  ggplot(aes(x = period, y = Estimate, ymin = Q2.5, ymax = Q97.5,
             fill = abused, color = abused)) +
  geom_ribbon(alpha = 1/5, linewidth = 0) +
  geom_line() +
  scale_fill_viridis_d(NULL, option = "A", end = 0.6, direction = -1) +
  scale_color_viridis_d(NULL, option = "A", end = 0.6, direction = -1) +
  scale_x_continuous("age", breaks = 7:19, limits = c(7, 19)) +
  ylab("fitted logit(hazard)") +
  coord_cartesian(ylim = c(-8, -2)) +
  theme(panel.grid = element_blank()) +
  facet_wrap(~ sex)

12.4.2 Nonlinear effects

There are two general strategies for exploring the linearity assumption. The simplest approach–although somewhat limited–is to fit additional models, replacing the raw predictor with a re-expressed version. Although the additional models also invoke a linearity constraint, use of re-expressed predictors guarantees that the effects represent nonlinear relationships for the raw predictors. The ladder of power (section 6.2.1) provides a dizzying array of options. The second approach is to categorize each continuous variable into a small number of groups, create a series of dummy variables representing group membership, and visually examine the pattern of parameter estimates for consecutive dummies to deduce the appropriate functional form. If the pattern is linear, retain the predictor in its raw state; if not, explore an alternative specification.

As the first approach is straightforward, we illustrate the second, using the depression onset data presented in section 12.3. (pp. 447–448, emphasis in the original)

Here’s another look at those depression_pp data.

depression_pp %>% 
  glimpse()
Rows: 36,997
Columns: 22
$ id        <dbl> 1, 1, 1, 1, 1, 1, 1, 1, 1, 1, 1, 1, 1, 1, 1, 1, 1, 1, 1, 1, 1, 1, 1, 1, 1, 1, 1, 1, 1, 1, 1, 2, 2, 2, 2, 2, 2,…
$ onset     <dbl> NA, NA, NA, NA, NA, NA, NA, NA, NA, NA, NA, NA, NA, NA, NA, NA, NA, NA, NA, NA, NA, NA, NA, NA, NA, NA, NA, NA…
$ age       <dbl> 34, 34, 34, 34, 34, 34, 34, 34, 34, 34, 34, 34, 34, 34, 34, 34, 34, 34, 34, 34, 34, 34, 34, 34, 34, 34, 34, 34…
$ censor    <dbl> 1, 1, 1, 1, 1, 1, 1, 1, 1, 1, 1, 1, 1, 1, 1, 1, 1, 1, 1, 1, 1, 1, 1, 1, 1, 1, 1, 1, 1, 1, 1, 1, 1, 1, 1, 1, 1,…
$ censage   <dbl> 34, 34, 34, 34, 34, 34, 34, 34, 34, 34, 34, 34, 34, 34, 34, 34, 34, 34, 34, 34, 34, 34, 34, 34, 34, 34, 34, 34…
$ aged      <dbl> NA, NA, NA, NA, NA, NA, NA, NA, NA, NA, NA, NA, NA, NA, NA, NA, NA, NA, NA, NA, NA, NA, NA, NA, NA, NA, NA, NA…
$ female    <dbl> 1, 1, 1, 1, 1, 1, 1, 1, 1, 1, 1, 1, 1, 1, 1, 1, 1, 1, 1, 1, 1, 1, 1, 1, 1, 1, 1, 1, 1, 1, 1, 1, 1, 1, 1, 1, 1,…
$ nsibs     <dbl> 6, 6, 6, 6, 6, 6, 6, 6, 6, 6, 6, 6, 6, 6, 6, 6, 6, 6, 6, 6, 6, 6, 6, 6, 6, 6, 6, 6, 6, 6, 6, 2, 2, 2, 2, 2, 2,…
$ sibs12    <dbl> 0, 0, 0, 0, 0, 0, 0, 0, 0, 0, 0, 0, 0, 0, 0, 0, 0, 0, 0, 0, 0, 0, 0, 0, 0, 0, 0, 0, 0, 0, 0, 1, 1, 1, 1, 1, 1,…
$ sibs34    <dbl> 0, 0, 0, 0, 0, 0, 0, 0, 0, 0, 0, 0, 0, 0, 0, 0, 0, 0, 0, 0, 0, 0, 0, 0, 0, 0, 0, 0, 0, 0, 0, 0, 0, 0, 0, 0, 0,…
$ sibs56    <dbl> 1, 1, 1, 1, 1, 1, 1, 1, 1, 1, 1, 1, 1, 1, 1, 1, 1, 1, 1, 1, 1, 1, 1, 1, 1, 1, 1, 1, 1, 1, 1, 0, 0, 0, 0, 0, 0,…
$ sibs78    <dbl> 0, 0, 0, 0, 0, 0, 0, 0, 0, 0, 0, 0, 0, 0, 0, 0, 0, 0, 0, 0, 0, 0, 0, 0, 0, 0, 0, 0, 0, 0, 0, 0, 0, 0, 0, 0, 0,…
$ sibs9plus <dbl> 0, 0, 0, 0, 0, 0, 0, 0, 0, 0, 0, 0, 0, 0, 0, 0, 0, 0, 0, 0, 0, 0, 0, 0, 0, 0, 0, 0, 0, 0, 0, 0, 0, 0, 0, 0, 0,…
$ bigfamily <dbl> 1, 1, 1, 1, 1, 1, 1, 1, 1, 1, 1, 1, 1, 1, 1, 1, 1, 1, 1, 1, 1, 1, 1, 1, 1, 1, 1, 1, 1, 1, 1, 0, 0, 0, 0, 0, 0,…
$ period    <dbl> 4, 5, 6, 7, 8, 9, 10, 11, 12, 13, 14, 15, 16, 17, 18, 19, 20, 21, 22, 23, 24, 25, 26, 27, 28, 29, 30, 31, 32, …
$ event     <dbl> 0, 0, 0, 0, 0, 0, 0, 0, 0, 0, 0, 0, 0, 0, 0, 0, 0, 0, 0, 0, 0, 0, 0, 0, 0, 0, 0, 0, 0, 0, 0, 0, 0, 0, 0, 0, 0,…
$ pd        <dbl> 0, 0, 0, 0, 0, 0, 0, 0, 0, 0, 0, 0, 0, 0, 0, 0, 0, 0, 0, 0, 0, 0, 0, 0, 0, 0, 0, 0, 0, 0, 0, 0, 0, 0, 0, 0, 0,…
$ pdnow     <dbl> 0, 0, 0, 0, 0, 0, 0, 0, 0, 0, 0, 0, 0, 0, 0, 0, 0, 0, 0, 0, 0, 0, 0, 0, 0, 0, 0, 0, 0, 0, 0, 0, 0, 0, 0, 0, 0,…
$ one       <dbl> 1, 1, 1, 1, 1, 1, 1, 1, 1, 1, 1, 1, 1, 1, 1, 1, 1, 1, 1, 1, 1, 1, 1, 1, 1, 1, 1, 1, 1, 1, 1, 1, 1, 1, 1, 1, 1,…
$ age_18    <dbl> -14, -13, -12, -11, -10, -9, -8, -7, -6, -5, -4, -3, -2, -1, 0, 1, 2, 3, 4, 5, 6, 7, 8, 9, 10, 11, 12, 13, 14,…
$ age_18sq  <dbl> 196, 169, 144, 121, 100, 81, 64, 49, 36, 25, 16, 9, 4, 1, 0, 1, 4, 9, 16, 25, 36, 49, 64, 81, 100, 121, 144, 1…
$ age_18cub <dbl> -2744, -2197, -1728, -1331, -1000, -729, -512, -343, -216, -125, -64, -27, -8, -1, 0, 1, 8, 27, 64, 125, 216, …

Our three models will be cubic with respect to our time variable, age_18. The focal predictor whose form (non)linear form we’re interested in is nsibs. Singer and Willett’s first model, Model A (see Table 12.4, p. 449), treated nsibs as linear. Fit the model with brms.

# model a (linear)  
# 21.363 minutes
fit12.24 <- brm(
  data = depression_pp,
  family = binomial,
  event | trials(1) ~ 0 + Intercept + age_18 + I(age_18^2) + I(age_18^3) + pd + female + nsibs,
  prior(normal(0, 4), class = b),
  chains = 4, cores = 4, iter = 2000, warmup = 1000,
  seed = 12,
  file = "fits/fit12.24")

Check the model summary.

print(fit12.24)
 Family: binomial 
  Links: mu = logit 
Formula: event | trials(1) ~ 0 + Intercept + age_18 + I(age_18^2) + I(age_18^3) + pd + female + nsibs 
   Data: depression_pp (Number of observations: 36997) 
  Draws: 4 chains, each with iter = 2000; warmup = 1000; thin = 1;
         total post-warmup draws = 4000

Regression Coefficients:
          Estimate Est.Error l-95% CI u-95% CI Rhat Bulk_ESS Tail_ESS
Intercept    -4.36      0.12    -4.60    -4.13 1.00     1742     2119
age_18        0.06      0.01     0.04     0.08 1.00     3278     2629
Iage_18E2    -0.01      0.00    -0.01    -0.01 1.00     4216     3472
Iage_18E3     0.00      0.00     0.00     0.00 1.00     3917     3251
pd            0.35      0.17     0.03     0.66 1.00     1156     1401
female        0.56      0.11     0.36     0.78 1.00     2080     1934
nsibs        -0.08      0.02    -0.13    -0.04 1.00     2779     2654

Draws were sampled using sampling(NUTS). For each parameter, Bulk_ESS
and Tail_ESS are effective sample size measures, and Rhat is the potential
scale reduction factor on split chains (at convergence, Rhat = 1).

Here we invert the antilog of nsibs and summarize the posterior with median_qi().

as_draws_df(fit12.24) %>% 
  median_qi(1 / exp(b_nsibs)) %>% 
  mutate_if(is.double, round, digits = 3)
# A tibble: 1 × 6
  `1/exp(b_nsibs)` .lower .upper .width .point .interval
             <dbl>  <dbl>  <dbl>  <dbl> <chr>  <chr>    
1             1.09   1.04   1.14   0.95 median qi       

Singer and Willett described nsibs as “highly skewed” (p. 448). Let’s take a look.

depression_pp %>% 
  group_by(id) %>% 
  slice(1) %>% 
  
  ggplot(aes(x = nsibs)) +
  geom_bar() +
  theme(panel.grid = element_blank())

Yep, sure is. Here’s a way to save Singer and Willett’s discretized version of nsibs and then break the cases down in terms of \(n\) and percentage, which matches nicely with the numbers at the bottom of page 449.

depression_pp <- depression_pp %>% 
  mutate(nsibs_cat = case_when(
    nsibs == 0         ~ "0",
    nsibs %in% c(1, 2) ~ "1 or 2",
    nsibs %in% c(3, 4) ~ "3 or 4",
    nsibs %in% c(5, 6) ~ "5 or 6",
    nsibs %in% c(7, 8) ~ "7 or 8",
    nsibs >= 9         ~ "9 or more"
  )
  )

depression_pp %>% 
  group_by(id) %>% 
  slice(1) %>% 
  ungroup() %>% 
  count(nsibs_cat) %>% 
  mutate(percent = (100 * n / sum(n)) %>% round(digits = 1))
# A tibble: 6 × 3
  nsibs_cat     n percent
  <chr>     <int>   <dbl>
1 0            98     7  
2 1 or 2      672    48.2
3 3 or 4      330    23.7
4 5 or 6      159    11.4
5 7 or 8       72     5.2
6 9 or more    62     4.5

Now fit our version of Model B, in which we replace the original linear predictor nsibs with a series of dummies: sibs12, sibs34,…, sibs9plus.

# model b (nonlinear)  
# 17.33117  minutes
fit12.25 <- brm(
  data = depression_pp,
  family = binomial,
  event | trials(1) ~ 0 + Intercept + age_18 + I(age_18^2) + I(age_18^3) + pd + female + sibs12 + sibs34 + sibs56 + sibs78 + sibs9plus,
  prior(normal(0, 4), class = b),
  chains = 4, cores = 4, iter = 2000, warmup = 1000,
  seed = 12,
  file = "fits/fit12.25")

Here’s the model summary.

print(fit12.25)
 Family: binomial 
  Links: mu = logit 
Formula: event | trials(1) ~ 0 + Intercept + age_18 + I(age_18^2) + I(age_18^3) + pd + female + sibs12 + sibs34 + sibs56 + sibs78 + sibs9plus 
   Data: depression_pp (Number of observations: 36997) 
  Draws: 4 chains, each with iter = 2000; warmup = 1000; thin = 1;
         total post-warmup draws = 4000

Regression Coefficients:
          Estimate Est.Error l-95% CI u-95% CI Rhat Bulk_ESS Tail_ESS
Intercept    -4.51      0.21    -4.92    -4.13 1.01     1027     1673
age_18        0.06      0.01     0.04     0.09 1.00     2649     2767
Iage_18E2    -0.01      0.00    -0.01    -0.01 1.00     5833     2903
Iage_18E3     0.00      0.00     0.00     0.00 1.00     3667     3528
pd            0.37      0.16     0.05     0.68 1.00     2762     2328
female        0.56      0.11     0.35     0.77 1.00     2543     2582
sibs12        0.03      0.19    -0.33     0.41 1.00     1060     1579
sibs34        0.02      0.21    -0.37     0.43 1.00     1079     1357
sibs56       -0.50      0.25    -0.97    -0.00 1.00     1315     1772
sibs78       -0.81      0.35    -1.52    -0.17 1.00     1935     2748
sibs9plus    -0.69      0.34    -1.39    -0.06 1.00     1607     1949

Draws were sampled using sampling(NUTS). For each parameter, Bulk_ESS
and Tail_ESS are effective sample size measures, and Rhat is the potential
scale reduction factor on split chains (at convergence, Rhat = 1).

It might be easier to compare the various sibs* coefficients with a coefficient plot.

as_draws_df(fit12.25) %>% 
  pivot_longer(contains("sibs")) %>% 
  mutate(name = str_remove(name, "b_")) %>% 
  
  ggplot(aes(x = value, y = name)) +
  stat_interval(size = 5, .width = c(0.1, 0.5, 0.9)) +
  scale_color_grey("CI level:", start = 0.8, end = 0.2) +
  labs(x = "sibs coeficients",
       y = NULL) +
  theme(axis.text.y = element_text(hjust = 0),
        axis.ticks.y = element_blank(),
        panel.grid = element_blank())

Here is the breakdown by bigfamily.

depression_pp %>% 
  group_by(id) %>% 
  slice(1) %>% 
  ungroup() %>% 
  count(bigfamily) %>% 
  mutate(percent = (100 * n / sum(n)) %>% round(digits = 2))
# A tibble: 2 × 3
  bigfamily     n percent
      <dbl> <int>   <dbl>
1         0  1100    79.0
2         1   293    21.0

Now fit our version of Model C, the dichotomized bigfamily model.

# model c (dichotomized)  
# 24.89283 minutes
fit12.26 <- brm(
  data = depression_pp,
  family = binomial,
  event | trials(1) ~ 0 + Intercept + age_18 + I(age_18^2) + I(age_18^3) + pd + female + bigfamily,
  prior(normal(0, 4), class = b),
  chains = 4, cores = 4, iter = 2000, warmup = 1000,
  seed = 12,
  file = "fits/fit12.26")

Check the model summary.

print(fit12.26)
 Family: binomial 
  Links: mu = logit 
Formula: event | trials(1) ~ 0 + Intercept + age_18 + I(age_18^2) + I(age_18^3) + pd + female + bigfamily 
   Data: depression_pp (Number of observations: 36997) 
  Draws: 4 chains, each with iter = 2000; warmup = 1000; thin = 1;
         total post-warmup draws = 4000

Regression Coefficients:
          Estimate Est.Error l-95% CI u-95% CI Rhat Bulk_ESS Tail_ESS
Intercept    -4.48      0.11    -4.69    -4.28 1.00     1629     2161
age_18        0.06      0.01     0.04     0.08 1.00     2424     2465
Iage_18E2    -0.01      0.00    -0.01    -0.01 1.00     3872     2473
Iage_18E3     0.00      0.00     0.00     0.00 1.00     3251     2696
pd            0.36      0.17     0.02     0.67 1.00     3036     2072
female        0.56      0.11     0.35     0.78 1.00     2151     2362
bigfamily    -0.62      0.15    -0.91    -0.33 1.00     2485     2412

Draws were sampled using sampling(NUTS). For each parameter, Bulk_ESS
and Tail_ESS are effective sample size measures, and Rhat is the potential
scale reduction factor on split chains (at convergence, Rhat = 1).

The summaries look very similar to the values in the rightmost column of Table 12.4 in the text. Here is a look at the antilog of our bigfamily coefficient.

# just to make the x-axis pretty
breaks <- c(exp(fixef(fit12.26)["bigfamily", c(1, 3:4)]), 1) %>% as.vector()
labels <- c(exp(fixef(fit12.26)["bigfamily", c(1, 3:4)]), 1) %>% round(digits = 3) %>% as.vector()

# plot!
as_draws_df(fit12.26) %>% 
  ggplot(aes(x = exp(b_bigfamily))) +
  geom_vline(xintercept = 1, color = "white") +
  stat_halfeye(.width = c(0.5, 0.95)) +
  scale_x_continuous("bigfamily odds ratio", breaks = breaks, labels = labels) +
  scale_y_continuous(NULL, breaks = NULL) +
  theme(panel.grid = element_blank())

Now compute the WAIC estimates for fit12.24 through fit12.26 and compare them by their WAIC differences and WAIC weights.

fit12.24 <- add_criterion(fit12.24, criterion = "waic")
fit12.25 <- add_criterion(fit12.25, criterion = "waic")
fit12.26 <- add_criterion(fit12.26, criterion = "waic")

loo_compare(fit12.24, fit12.25, fit12.26, criterion = "waic") %>% print(simplify = F)
         elpd_diff se_diff elpd_waic se_elpd_waic p_waic  se_p_waic waic    se_waic
fit12.26     0.0       0.0 -2066.5      85.6          7.0     0.5    4132.9   171.3
fit12.24    -2.8       3.0 -2069.2      85.8          7.1     0.5    4138.5   171.6
fit12.25    -3.5       1.1 -2070.0      85.9         11.0     0.7    4140.0   171.7
model_weights(fit12.24, fit12.25, fit12.26, weights = "waic") %>% round(digits = 3)
fit12.24 fit12.25 fit12.26 
   0.058    0.027    0.915 

Our WAIC estimates are very similar to the AIC estimates presented in Table 12.4. By both the differences and the weights, fit12.16 (Model C) is the best among the three. Though its rank is decisive with the weights, it’s less impressive if you compare the se_diff values with the elpd_diff values. Those suggest there’s a lot of uncertainty in our WAIC differences.

12.5 The proportionality assumption: Uncovering violations and simple solutions

All the discrete hazard models postulated so far invoke another common, but restrictive assumption: that each predictor has an identical effect in every time period under study. This constraint, known as the proportionality assumption, stipulates that a predictor’s effect does not depend on the respondent’s duration in the initial state….

Yet is it not possible, even likely, that the effects of some predictors will vary over time? (p. 451, emphasis in the original)

12.5.1 Discrete-time hazard models that do not invoke a proportionality assumption

“There are dozens of ways of violating the proportionality assumption” (p. 452). We see three such examples in panels B through D in Figure 12.7. Here’s our version of the plot.

p1 <- crossing(z = 0:1,
               x = 1:8) %>% 
  mutate(y = -2.1 + -0.2 * (x - 1) + 1.1 * z,
         z = factor(z)) %>% 
  
  ggplot(aes(x = x, y = y)) +
  geom_line(aes(linewidth = z))

p2 <- crossing(z = 0:1,
               x = 1:8) %>% 
  mutate(y = -4.8 + 0.28 * (x - 1) + 0.01 * z + 0.25 * x * z,
         z = factor(z)) %>% 
  
  ggplot(aes(x = x, y = y)) +
  geom_line(aes(linewidth = z))

p3 <- crossing(z = 0:1,
               x = 1:8) %>% 
  mutate(y = -4.8 + 0.25 * (x - 1) + 4.3 * z + -0.5 * x * z,
         z = factor(z)) %>%

  ggplot(aes(x = x, y = y)) +
  geom_line(aes(linewidth = z))

p4 <- crossing(z1 = 0:1,
               x  = 1:8) %>% 
  mutate(z2 = rep(0:1, times = n() / 2),
         y  = -2.8 + -0.2 * (x - 1) + 1.8 * z1 + -1.4 * z1 * z2,
         z1 = factor(z1)) %>% 
  
  ggplot(aes(x = x, y = y)) +
  geom_line(aes(linewidth = z1))

# combine
(
  (p1 + p2 + p3 + p4) + 
  plot_annotation(tag_levels = "A") 
) &
  scale_linewidth_manual(values = c(1, 1/2)) &
  scale_x_continuous("time period", breaks = 0:8, limits = c(0, 8)) &
  scale_y_continuous("logit hazard", limits = c(-5, -0.5)) &
  theme(legend.position = "none",
        panel.grid = element_blank())

In case is wasn’t clear, I just winged it on the equations for the y values in each subplot. If you’d like to annotate the subplots with the arrows and \(\beta\) labels as depicted in the original Figure 12.7, consider it a homework exercise.

12.5.2 Investigating the proportionality assumption in practice

Load the data from Graham’s (1997) dissertation.

mathdropout_pp <- read_csv("data/mathdropout_pp.csv") %>% 
  # convert the column names to lower case
  rename_all(tolower)

glimpse(mathdropout_pp)
Rows: 9,558
Columns: 19
$ id     <dbl> 201303, 201303, 201304, 201304, 201304, 201305, 201305, 201311, 201311, 201311, 201311, 201311, 201316, 201316, 2…
$ lastpd <dbl> 2, 2, 3, 3, 3, 2, 2, 5, 5, 5, 5, 5, 5, 5, 5, 5, 5, 3, 3, 3, 1, 5, 5, 5, 5, 5, 2, 2, 3, 3, 3, 3, 3, 3, 3, 3, 3, 2,…
$ female <dbl> 1, 1, 1, 1, 1, 1, 1, 0, 0, 0, 0, 0, 0, 0, 0, 0, 0, 1, 1, 1, 0, 1, 1, 1, 1, 1, 1, 1, 1, 1, 1, 0, 0, 0, 0, 0, 0, 1,…
$ censor <dbl> 0, 0, 0, 0, 0, 1, 1, 1, 1, 1, 1, 1, 0, 0, 0, 0, 0, 1, 1, 1, 1, 0, 0, 0, 0, 0, 0, 0, 1, 1, 1, 0, 0, 0, 1, 1, 1, 1,…
$ one    <dbl> 1, 1, 1, 1, 1, 1, 1, 1, 1, 1, 1, 1, 1, 1, 1, 1, 1, 1, 1, 1, 1, 1, 1, 1, 1, 1, 1, 1, 1, 1, 1, 1, 1, 1, 1, 1, 1, 1,…
$ hs11   <dbl> 1, 0, 1, 0, 0, 1, 0, 1, 0, 0, 0, 0, 1, 0, 0, 0, 0, 1, 0, 0, 1, 1, 0, 0, 0, 0, 1, 0, 1, 0, 0, 1, 0, 0, 1, 0, 0, 1,…
$ hs12   <dbl> 0, 1, 0, 1, 0, 0, 1, 0, 1, 0, 0, 0, 0, 1, 0, 0, 0, 0, 1, 0, 0, 0, 1, 0, 0, 0, 0, 1, 0, 1, 0, 0, 1, 0, 0, 1, 0, 0,…
$ coll1  <dbl> 0, 0, 0, 0, 1, 0, 0, 0, 0, 1, 0, 0, 0, 0, 1, 0, 0, 0, 0, 1, 0, 0, 0, 1, 0, 0, 0, 0, 0, 0, 1, 0, 0, 1, 0, 0, 1, 0,…
$ coll2  <dbl> 0, 0, 0, 0, 0, 0, 0, 0, 0, 0, 1, 0, 0, 0, 0, 1, 0, 0, 0, 0, 0, 0, 0, 0, 1, 0, 0, 0, 0, 0, 0, 0, 0, 0, 0, 0, 0, 0,…
$ coll3  <dbl> 0, 0, 0, 0, 0, 0, 0, 0, 0, 0, 0, 1, 0, 0, 0, 0, 1, 0, 0, 0, 0, 0, 0, 0, 0, 1, 0, 0, 0, 0, 0, 0, 0, 0, 0, 0, 0, 0,…
$ fhs11  <dbl> 1, 0, 1, 0, 0, 1, 0, 0, 0, 0, 0, 0, 0, 0, 0, 0, 0, 1, 0, 0, 0, 1, 0, 0, 0, 0, 1, 0, 1, 0, 0, 0, 0, 0, 0, 0, 0, 1,…
$ fhs12  <dbl> 0, 1, 0, 1, 0, 0, 1, 0, 0, 0, 0, 0, 0, 0, 0, 0, 0, 0, 1, 0, 0, 0, 1, 0, 0, 0, 0, 1, 0, 1, 0, 0, 0, 0, 0, 0, 0, 0,…
$ fcoll1 <dbl> 0, 0, 0, 0, 1, 0, 0, 0, 0, 0, 0, 0, 0, 0, 0, 0, 0, 0, 0, 1, 0, 0, 0, 1, 0, 0, 0, 0, 0, 0, 1, 0, 0, 0, 0, 0, 0, 0,…
$ fcoll2 <dbl> 0, 0, 0, 0, 0, 0, 0, 0, 0, 0, 0, 0, 0, 0, 0, 0, 0, 0, 0, 0, 0, 0, 0, 0, 1, 0, 0, 0, 0, 0, 0, 0, 0, 0, 0, 0, 0, 0,…
$ fcoll3 <dbl> 0, 0, 0, 0, 0, 0, 0, 0, 0, 0, 0, 0, 0, 0, 0, 0, 0, 0, 0, 0, 0, 0, 0, 0, 0, 1, 0, 0, 0, 0, 0, 0, 0, 0, 0, 0, 0, 0,…
$ period <dbl> 1, 2, 1, 2, 3, 1, 2, 1, 2, 3, 4, 5, 1, 2, 3, 4, 5, 1, 2, 3, 1, 1, 2, 3, 4, 5, 1, 2, 1, 2, 3, 1, 2, 3, 1, 2, 3, 1,…
$ event  <dbl> 0, 1, 0, 0, 1, 0, 0, 0, 0, 0, 0, 0, 0, 0, 0, 0, 1, 0, 0, 0, 0, 0, 0, 0, 0, 1, 0, 1, 0, 0, 0, 0, 0, 1, 0, 0, 0, 0,…
$ ltime  <dbl> 0, 1, 0, 1, 2, 0, 1, 0, 1, 2, 3, 4, 0, 1, 2, 3, 4, 0, 1, 2, 0, 0, 1, 2, 3, 4, 0, 1, 0, 1, 2, 0, 1, 2, 0, 1, 2, 0,…
$ fltime <dbl> 0, 1, 0, 1, 2, 0, 1, 0, 0, 0, 0, 0, 0, 0, 0, 0, 0, 0, 1, 2, 0, 0, 1, 2, 3, 4, 0, 1, 0, 1, 2, 0, 0, 0, 0, 0, 0, 0,…

The data are composed of \(n = 3{,}790\) high school students.

mathdropout_pp %>% 
  distinct(id) %>% 
  count()
# A tibble: 1 × 1
      n
  <int>
1  3790

Here is the division by female.

mathdropout_pp %>% 
  distinct(id, female) %>% 
  count(female) %>% 
  mutate(percent = 100 * n / sum(n))
# A tibble: 2 × 3
  female     n percent
   <dbl> <int>   <dbl>
1      0  1875    49.5
2      1  1915    50.5

Singer and Willett also wrote: “only 93 men and 39 women took a mathematics class in each of the next five terms” (p. 456). I think this is a typo. Here’s the break down by censor and female at the fifth time period (period == 5).

mathdropout_pp %>% 
  filter(period == 5) %>% 
  count(censor, female)
# A tibble: 4 × 3
  censor female     n
   <dbl>  <dbl> <int>
1      0      0    39
2      0      1    39
3      1      0    93
4      1      1    51

Fitting the three models displayed in Table 12.5 is a mild extension from our previous models. From a brm() perspective, there’s nothing new, here.

fit12.27 <- brm(
  data = mathdropout_pp,
  family = binomial,
  event | trials(1) ~ 0 + hs11 + hs12 + coll1 + coll2 + coll3 + female,
  prior(normal(0, 4), class = b),
  chains = 4, cores = 4, iter = 2000, warmup = 1000,
  seed = 12,
  file = "fits/fit12.27")

fit12.28 <- brm(
  data = mathdropout_pp,
  family = binomial,
  event | trials(1) ~ 0 + hs11 + hs12 + coll1 + coll2 + coll3 + fhs11 + fhs12 + fcoll1 + fcoll2 + fcoll3,
  prior(normal(0, 4), class = b),
  chains = 4, cores = 4, iter = 2000, warmup = 1000,
  seed = 12,
  file = "fits/fit12.28")

fit12.29 <- brm(
  data = mathdropout_pp,
  family = binomial,
  event | trials(1) ~ 0 + hs11 + hs12 + coll1 + coll2 + coll3 + female + fltime,
  prior(normal(0, 4), class = b),
  chains = 4, cores = 4, iter = 2000, warmup = 1000,
  seed = 12,
  file = "fits/fit12.29")

Heads up about the formula for fit12.28 (Model B). Many of the examples in the text and the corresponding data sets we’ve been working with included pre-computed interaction terms. We have been quietly ignoring those and making our interactions by hand in our formula arguments. Here we went ahead with the text and just used event | trials(1) ~ 0 + hs11 + hs12 + coll1 + coll2 + coll3 + fhs11 + fhs12 + fcoll1 + fcoll2 + fcoll3. If you wanted a more verbose version of that code, we could have specified either

  • event | trials(1) ~ 0 + hs11 + hs12 + coll1 + coll2 + coll3 + female:hs11 + female:hs12 + female:coll1 + female:coll2 + female:coll3 or
  • event | trials(1) ~ 0 + hs11 + hs12 + coll1 + coll2 + coll3 + female:(hs11 + hs12 + coll1 + coll2 + coll3).

All three return the same results. Anyway, let’s check the model summaries.

print(fit12.27)
 Family: binomial 
  Links: mu = logit 
Formula: event | trials(1) ~ 0 + hs11 + hs12 + coll1 + coll2 + coll3 + female 
   Data: mathdropout_pp (Number of observations: 9558) 
  Draws: 4 chains, each with iter = 2000; warmup = 1000; thin = 1;
         total post-warmup draws = 4000

Regression Coefficients:
       Estimate Est.Error l-95% CI u-95% CI Rhat Bulk_ESS Tail_ESS
hs11      -2.13      0.06    -2.24    -2.02 1.00     3837     2896
hs12      -0.94      0.05    -1.04    -0.85 1.00     3308     2845
coll1     -1.45      0.06    -1.57    -1.33 1.00     3747     3002
coll2     -0.62      0.07    -0.76    -0.47 1.01     4750     3125
coll3     -0.77      0.14    -1.07    -0.49 1.00     5386     2680
female     0.38      0.05     0.28     0.48 1.00     2546     2761

Draws were sampled using sampling(NUTS). For each parameter, Bulk_ESS
and Tail_ESS are effective sample size measures, and Rhat is the potential
scale reduction factor on split chains (at convergence, Rhat = 1).
print(fit12.28)
 Family: binomial 
  Links: mu = logit 
Formula: event | trials(1) ~ 0 + hs11 + hs12 + coll1 + coll2 + coll3 + fhs11 + fhs12 + fcoll1 + fcoll2 + fcoll3 
   Data: mathdropout_pp (Number of observations: 9558) 
  Draws: 4 chains, each with iter = 2000; warmup = 1000; thin = 1;
         total post-warmup draws = 4000

Regression Coefficients:
       Estimate Est.Error l-95% CI u-95% CI Rhat Bulk_ESS Tail_ESS
hs11      -2.01      0.07    -2.15    -1.87 1.00     3900     2832
hs12      -0.96      0.06    -1.08    -0.85 1.00     4355     2809
coll1     -1.48      0.08    -1.65    -1.32 1.00     4052     3383
coll2     -0.71      0.10    -0.90    -0.52 1.00     3976     2809
coll3     -0.88      0.19    -1.24    -0.52 1.00     4318     3182
fhs11      0.16      0.10    -0.03     0.35 1.00     3627     2439
fhs12      0.42      0.08     0.26     0.57 1.00     3875     3157
fcoll1     0.44      0.12     0.22     0.67 1.00     4092     3386
fcoll2     0.57      0.14     0.29     0.86 1.00     4135     3059
fcoll3     0.60      0.28     0.05     1.14 1.00     4362     3415

Draws were sampled using sampling(NUTS). For each parameter, Bulk_ESS
and Tail_ESS are effective sample size measures, and Rhat is the potential
scale reduction factor on split chains (at convergence, Rhat = 1).
print(fit12.29)
 Family: binomial 
  Links: mu = logit 
Formula: event | trials(1) ~ 0 + hs11 + hs12 + coll1 + coll2 + coll3 + female + fltime 
   Data: mathdropout_pp (Number of observations: 9558) 
  Draws: 4 chains, each with iter = 2000; warmup = 1000; thin = 1;
         total post-warmup draws = 4000

Regression Coefficients:
       Estimate Est.Error l-95% CI u-95% CI Rhat Bulk_ESS Tail_ESS
hs11      -2.05      0.06    -2.18    -1.92 1.00     2543     2852
hs12      -0.92      0.05    -1.02    -0.83 1.00     3539     3104
coll1     -1.50      0.07    -1.63    -1.37 1.00     3470     2698
coll2     -0.72      0.08    -0.89    -0.56 1.00     3224     2950
coll3     -0.92      0.15    -1.22    -0.62 1.00     3167     2658
female     0.23      0.08     0.08     0.38 1.00     2216     2421
fltime     0.12      0.05     0.03     0.21 1.00     2119     2364

Draws were sampled using sampling(NUTS). For each parameter, Bulk_ESS
and Tail_ESS are effective sample size measures, and Rhat is the potential
scale reduction factor on split chains (at convergence, Rhat = 1).

The results are similar to those in Table 12.5. Based on fit12.27 (Model A), here is the posterior for the odds ratio for female.

as_draws_df(fit12.27) %>% 
  ggplot(aes(x = exp(b_female))) +
  stat_halfeye(.width = c(0.5, 0.95)) +
  scale_y_continuous(NULL, breaks = NULL) +
  xlab("odds ratio for female") +
  theme(panel.grid = element_blank())

With regard to the interaction terms for fit12.28 (Model B), Singer and Willett remarked: “Notice how the estimates rise over time” (p. 457). It might be easiest to observe that in a plot.

as_draws_df(fit12.28) %>% 
  pivot_longer(starts_with("b_f")) %>% 
  mutate(name = factor(str_remove(name, "b_"),
                       levels = c(str_c("fhs", 11:12), str_c("fcoll", 1:3)))) %>%
  
  ggplot(aes(x = value, y = name)) +
  stat_interval(size = 5, .width = c(0.1, 0.5, 0.9)) +
  scale_color_grey("CI level:", start = 0.8, end = 0.2) +
  labs(x = "interaction terms",
       y = NULL) +
  theme(axis.text.y = element_text(hjust = 0),
        axis.ticks.y = element_blank(),
        panel.grid = element_blank())

Make and save the subplots for Figure 12.8.

# Within-group sample hazard functions
p1 <- mathdropout_pp %>% 
  mutate(event = if_else(event == 1, "event", "no_event")) %>% 
  group_by(period) %>% 
  count(event, female) %>% 
  ungroup() %>% 
  pivot_wider(names_from = event,
              values_from = n) %>% 
  mutate(total = event + no_event,
         logit = log(event / total / (1 - event / total))) %>% 
  mutate(female = factor(female,
                         levels = 1:0,
                         labels = c("F", "M"))) %>% 
  
  # plot
  ggplot(aes(x = period, y = logit)) +
  geom_line(aes(color = female),
            show.legend = F) +
  scale_y_continuous("sample logit(hazard)", breaks = -2:0) +
  labs(subtitle = "Within-group sample hazard functions")

# Model A: Main effect of female
nd <- mathdropout_pp %>% 
  distinct(female, period, hs11, hs12, coll1, coll2, coll3)

p2 <- make_fitted(fit12.27, scale = "linear") %>% 
  mutate(female = factor(female,
                         levels = 1:0,
                         labels = c("F", "M"))) %>% 
  
  # plot
  ggplot(aes(x = period, y = Estimate, ymin = Q2.5, ymax = Q97.5,
             fill = female, color = female)) +
  geom_ribbon(alpha = 1/5, linewidth = 0) +
  geom_line() +
  scale_fill_viridis_d(NULL, option = "A", end = 0.6, direction = -1) +
  scale_y_continuous("fitted logit(hazard)", breaks = -2:0) +
  labs(subtitle = "Model A: Main effect of female")

# Model B: Completely general\ninteraction between female and time
nd <- mathdropout_pp %>% 
  distinct(female, period, hs11, hs12, coll1, coll2, coll3, fhs11, fhs12, fcoll1, fcoll2, fcoll3)

p3 <- make_fitted(fit12.28, scale = "linear") %>% 
  mutate(female = factor(female,
                         levels = 1:0,
                         labels = c("F", "M"))) %>% 
  
  # plot
  ggplot(aes(x = period, y = Estimate, ymin = Q2.5, ymax = Q97.5,
             fill = female, color = female)) +
  geom_ribbon(alpha = 1/5, linewidth = 0) +
  geom_line() +
  scale_fill_viridis_d(NULL, option = "A", end = 0.6, direction = -1) +
  scale_y_continuous("fitted logit(hazard)", breaks = -2:0) +
  labs(subtitle = "Model B: Completely general\ninteraction between female and time")

# Model C: Interaction\nbetween female and time
nd <- mathdropout_pp %>% 
  distinct(female, period, hs11, hs12, coll1, coll2, coll3, fltime)

p4 <- make_fitted(fit12.29, scale = "linear") %>% 
  mutate(female = factor(female,
                         levels = 1:0,
                         labels = c("F", "M"))) %>% 
  
  # plot
  ggplot(aes(x = period, y = Estimate, ymin = Q2.5, ymax = Q97.5,
             fill = female, color = female)) +
  geom_ribbon(alpha = 1/5, linewidth = 0) +
  geom_line() +
  scale_fill_viridis_d(NULL, option = "A", end = 0.6, direction = -1) +
  scale_y_continuous("fitted logit(hazard)", breaks = -2:0) +
  labs(subtitle = "Model C: Interaction\nbetween female and time") 

Now combine the subplots, augment them in bulk, and return our version of Figure 12.8.

(p1 + p2 + p3 + p4 + plot_layout(guides = "collect")) &
  scale_color_viridis_d(NULL, option = "A", end = 0.6, direction = -1) &
  scale_x_continuous("term", breaks = 1:5,
                     labels = c("HS 11", "HS 12", "C 1", "C 2", "C 3")) &
  coord_cartesian(ylim = c(-2.3, 0)) &
  theme(panel.grid = element_blank())

Compute the information criteria for the three models. Since these were a bit faster to compute than for some of the earlier models in this chapter, we’ll go ahead and compute both the LOO and the WAIC.

fit12.27 <- add_criterion(fit12.27, criterion = c("loo", "waic"))
fit12.28 <- add_criterion(fit12.28, criterion = c("loo", "waic"))
fit12.29 <- add_criterion(fit12.29, criterion = c("loo", "waic"))

Now compare the models with information criteria differences and weights.

loo_compare(fit12.27, fit12.28, fit12.29, criterion = "loo") %>% print(simplify = F)
         elpd_diff se_diff elpd_loo se_elpd_loo p_loo   se_p_loo looic   se_looic
fit12.29     0.0       0.0 -4905.7     51.3         6.8     0.1   9811.5   102.6 
fit12.28    -2.4       1.2 -4908.1     51.3        10.0     0.2   9816.2   102.6 
fit12.27    -2.4       2.6 -4908.2     51.2         6.0     0.1   9816.3   102.5 
loo_compare(fit12.27, fit12.28, fit12.29, criterion = "waic") %>% print(simplify = F)
         elpd_diff se_diff elpd_waic se_elpd_waic p_waic  se_p_waic waic    se_waic
fit12.29     0.0       0.0 -4905.7      51.3          6.8     0.1    9811.5   102.6
fit12.28    -2.4       1.2 -4908.1      51.3         10.0     0.2    9816.2   102.6
fit12.27    -2.4       2.6 -4908.2      51.2          6.0     0.1    9816.3   102.5
model_weights(fit12.27, fit12.28, fit12.29, weights = "loo") %>% round(digits = 3)
fit12.27 fit12.28 fit12.29 
   0.075    0.078    0.847 
model_weights(fit12.27, fit12.28, fit12.29, weights = "waic") %>% round(digits = 3)
fit12.27 fit12.28 fit12.29 
   0.075    0.078    0.847 

You’ll note both the LOO and WAIC estimates are very close to those displayed in Table 12.5. When we take their standard errors into account, fit12.29 (Model C) is marginally better than the other two models. fit12.29 also took most of the LOO and WAIC weights.

How do we interpret the gender differential implied by Model C? Because we have centered TIME at 1, the coefficient for FEMALE (0.2275) estimates the differential in time period 1, which here is 11th grade. Antilogging yields 1.26, which leads us to estimate that in 11th grade, the odds of ending one’s mathematics course-taking career are 26% higher for females. (p. 460, emphasis in the original)

Let’s examine those results with our Bayesian fit.

as_draws_df(fit12.29) %>% 
  mutate(`log odds` = b_female,
         `odds ratio` = exp(b_female)) %>% 
  pivot_longer(contains("odds")) %>% 
  
  ggplot(aes(x = value)) +
  stat_halfeye(.width = c(0.5, 0.95), normalize = "panels") +
  scale_y_continuous(NULL, breaks = NULL) +
  xlab("the effects of female in two metrics") +
  theme(panel.grid = element_blank()) +
  facet_wrap(~ name, scales = "free")

Now examine the odds ratio for three different educational periods.

as_draws_df(fit12.29) %>% 
  mutate(`12th grade`              = exp(b_female + b_fltime),
         `1st semester of college` = exp(b_female + 2 * b_fltime),
         `3rd semester of college` = exp(b_female + 4 * b_fltime)) %>% 
  pivot_longer(contains(" ")) %>% 
  
  ggplot(aes(x = value)) +
  stat_halfeye(.width = c(0.5, 0.95), normalize = "panels") +
  scale_y_continuous(NULL, breaks = NULL) +
  labs(title = "The interaction effect in different periods",
       x = "odds ratio") +
  theme(panel.grid = element_blank()) +
  facet_wrap(~ name, scales = "free")

12.6 The no unobserved heterogeneity assumption: No simple solution

All the hazard models discussed in this book–both the discrete-time models we are discussing now and the continuous-time models we will soon introduce–impose an additional assumption to which we have alluded: the assumption of no unobserved heterogeneity. Every model assumes that the population hazard function for individual \(i\) depends only on his or her predictor values. Any pair of individuals who share identical predictor profiles will have identical population functions….

Many data sets will not conform to this assumption. As in the multilevel model for change (and regular regression for that matter), pairs of individuals who share predictor profiles are very likely to have different outcomes….

Unobserved heterogeneity can have serious consequences. In their classic (1985) paper, Vaupel and Yaskin elegantly demonstrate what they call “heterogeneity’s ruses”–that ability of unobserved heterogeneity to create the misimpression that a hazard function follows a particular form, when in fact it may not….

Is it possible to fit a hazard model that accounts for unobserved heterogeneity? As you might expect, doing so requires that we have either additional data (for example, data on repeated events within individuals) or that we invoke other–perhaps less tenable–assumptions about the distribution of event time errors (Aalen, 1988; Heckman & Singer, 1984; Mare, 1994; Scheike & Jensen, 1997; Vaupel et al., 1979). As a result, most empirical researchers–and we–proceed ahead, if not ignoring the problem, at least not addressing it. In the remainder of this book, we assume that all heterogeneity is observed and attributable to the predictors included in our models.

12.7 Residual analysis

Before concluding that your model is sound, you should ascertain how well it performs for individual cases. As in regular regression, we [can] address this question by examining residuals.

Residuals compare–usually through subtraction–an outcome’s “observed” value to its model-based “expected” value. For a discrete-time hazard model, a simple difference will not suffice because each person has not a single outcome but a set of outcomes–one for each time period when he or she was at risk. This suggests the need for a residual defined at the person-period level. A further complication is that the observed outcome in every time period has a value of either 0 or 1 while its expected value—the predicted hazard probability—lies between these extremes. (p. 463, emphasis in the original)

Starting on page 464, Singer and Willett illustrated a residual analysis using Model D from Table 11.3. In the last chapter, we called that fit11.10. Here it is, again.

fit11.10 <- brm(
  data = sex_pp,
  family = binomial,
  event | trials(1) ~ 0 + d7 + d8 + d9 + d10 + d11 + d12 + pt + pas,
  prior(normal(0, 4), class = b),
  chains = 4, cores = 4, iter = 2000, warmup = 1000,
  seed = 11,
  file = "fits/fit11.10")

With brms, users can extract the residuals of a brm() fit with the residuals() function.

residuals(fit11.10) %>% 
  str()
 num [1:822, 1:4] -0.092 -0.0495 0.8285 -0.0857 -0.046 ...
 - attr(*, "dimnames")=List of 2
  ..$ : NULL
  ..$ : chr [1:4] "Estimate" "Est.Error" "Q2.5" "Q97.5"

The output is similar to what we get from fitted(). We have a numeric array of 822 rows and 4 columns. There are 822 rows because that is the number of rows in the original data set with which we fit the model, sex_pp.

sex_pp %>% 
  glimpse()
Rows: 822
Columns: 11
$ id     <dbl> 1, 1, 1, 2, 2, 2, 2, 2, 2, 3, 3, 3, 3, 3, 3, 5, 5, 5, 5, 5, 5, 6, 6, 6, 6, 6, 7, 7, 7, 9, 9, 9, 9, 9, 9, 10, 10, …
$ period <dbl> 7, 8, 9, 7, 8, 9, 10, 11, 12, 7, 8, 9, 10, 11, 12, 7, 8, 9, 10, 11, 12, 7, 8, 9, 10, 11, 7, 8, 9, 7, 8, 9, 10, 11…
$ event  <dbl> 0, 0, 1, 0, 0, 0, 0, 0, 0, 0, 0, 0, 0, 0, 0, 0, 0, 0, 0, 0, 1, 0, 0, 0, 0, 1, 0, 0, 1, 0, 0, 0, 0, 0, 0, 0, 0, 0,…
$ d7     <dbl> 1, 0, 0, 1, 0, 0, 0, 0, 0, 1, 0, 0, 0, 0, 0, 1, 0, 0, 0, 0, 0, 1, 0, 0, 0, 0, 1, 0, 0, 1, 0, 0, 0, 0, 0, 1, 0, 0,…
$ d8     <dbl> 0, 1, 0, 0, 1, 0, 0, 0, 0, 0, 1, 0, 0, 0, 0, 0, 1, 0, 0, 0, 0, 0, 1, 0, 0, 0, 0, 1, 0, 0, 1, 0, 0, 0, 0, 0, 1, 0,…
$ d9     <dbl> 0, 0, 1, 0, 0, 1, 0, 0, 0, 0, 0, 1, 0, 0, 0, 0, 0, 1, 0, 0, 0, 0, 0, 1, 0, 0, 0, 0, 1, 0, 0, 1, 0, 0, 0, 0, 0, 1,…
$ d10    <dbl> 0, 0, 0, 0, 0, 0, 1, 0, 0, 0, 0, 0, 1, 0, 0, 0, 0, 0, 1, 0, 0, 0, 0, 0, 1, 0, 0, 0, 0, 0, 0, 0, 1, 0, 0, 0, 0, 0,…
$ d11    <dbl> 0, 0, 0, 0, 0, 0, 0, 1, 0, 0, 0, 0, 0, 1, 0, 0, 0, 0, 0, 1, 0, 0, 0, 0, 0, 1, 0, 0, 0, 0, 0, 0, 0, 1, 0, 0, 0, 0,…
$ d12    <dbl> 0, 0, 0, 0, 0, 0, 0, 0, 1, 0, 0, 0, 0, 0, 1, 0, 0, 0, 0, 0, 1, 0, 0, 0, 0, 0, 0, 0, 0, 0, 0, 0, 0, 0, 1, 0, 0, 0,…
$ pt     <dbl> 0, 0, 0, 1, 1, 1, 1, 1, 1, 0, 0, 0, 0, 0, 0, 1, 1, 1, 1, 1, 1, 0, 0, 0, 0, 0, 1, 1, 1, 0, 0, 0, 0, 0, 0, 0, 0, 0,…
$ pas    <dbl> 1.9788670, 1.9788670, 1.9788670, -0.5454916, -0.5454916, -0.5454916, -0.5454916, -0.5454916, -0.5454916, -1.40498…

Just as we often express the uncertainty in our Bayesian models with parameter summaries from the posterior, we also express the uncertainty of our residuals. Thus, the four columns returned by the residuals() function are the familiar summary columns of Estimate, Est.Error, Q2.5, and Q97.5. On page 465, Singer and Willett showcased the deviance residuals for eight participants. We’re going to diverge from them a little. In the plot, below, we’ll look at the residuals for the first 10 cases in the data, by period.

residuals(fit11.10) %>% 
  data.frame() %>% 
  bind_cols(sex_pp) %>%
  mutate(event  = factor(event),
         period = factor(str_c("period ", period),
                         levels = str_c("period ", 7:12))) %>% 
  # reduce the number of cases
  filter(id < 11) %>% 
  
  ggplot(aes(x = id, y = Estimate, ymin = Q2.5, ymax = Q97.5, color = event)) +
  geom_hline(yintercept = 0, color = "white") +
  geom_pointrange(size = 1/10) +
  scale_color_viridis_d(option = "A", end = 0.6) +
  scale_x_continuous(breaks = 1:10, labels = rep(c(1, "", 10), times = c(1, 8, 1))) +
  ylab("residual") +
  theme(legend.position = "top", 
        panel.grid = element_blank()) +
  facet_wrap(~ period, nrow = 1)

As is often the case in coefficient plots, the dots are the posterior means and the intersecting lines are the percentile-based 95% intervals. In the sex_pp data, the event variable encodes when participants experience the event within a given time range. Hopefully the color coding highlights how with hazard models, the residuals are always positive when the criterion variable is a 1 and always negative when the criterion is 0.

Now we have a bit of a handle on the output from residuals(), let’s plot in bulk.

residuals(fit11.10) %>% 
  data.frame() %>% 
  bind_cols(sex_pp) %>% 
  mutate(event = factor(event)) %>% 
  
  ggplot(aes(x = id, y = Estimate, ymin = Q2.5, ymax = Q97.5, color = event)) +
  geom_hline(yintercept = 0, color = "white") +
  geom_pointrange(size = 1/10, alpha = 1/2) +
  scale_color_viridis_d(option = "A", end = 0.6) +
  ylab("residual") +
  theme(legend.position = "top", 
        panel.grid = element_blank()) 

This plot is our analogue to the top portion of Singer and Willett’s Figure 12.9. But whereas we plotted our residual summaries, they plotted the expected values of their deviance residuals. In contrast with the material on page 464, I am not going to discuss deviance residuals or the sums of the squared deviance residuals. Our brms workflow offers an alternative. Before we offer our alternative, we might focus on deviance residuals for just a moment:

Deviance residuals are so named because, when squared, they represent an individual’s contribution to the deviance statistic for that time period. The sum of the squared deviance residuals across all the records in a person-period data set yields the deviance statistic for the specified model….

The absolute value of a deviance residual indicates how well the model fits that person’s data for that period. Large absolute values identify person-period records whose outcomes are poorly predicted. (p. 464)

Back in Chapter 11, we computed the LOO for fit11.10. Let’s take a look at that.

loo(fit11.10)

Computed from 4000 by 822 log-likelihood matrix.

         Estimate   SE
elpd_loo   -322.7 17.6
p_loo         8.2  0.6
looic       645.5 35.2
------
MCSE of elpd_loo is 0.0.
MCSE and ESS estimates assume MCMC draws (r_eff in [0.6, 1.8]).

All Pareto k estimates are good (k < 0.7).
See help('pareto-k-diagnostic') for details.

Notice the part of the output that read “All Pareto k estimates are good (k < 0.5).” We can pull those Pareto k estimates like so.

loo(fit11.10)$diagnostics %>% 
  data.frame() %>% 
  glimpse()
Rows: 822
Columns: 3
$ pareto_k <dbl> 0.001821041, 0.073595944, 0.057567080, 0.148331279, -0.067743335, 0.036297195, -0.019416998, -0.047523633, -0.1…
$ n_eff    <dbl> 2563.846, 3119.138, 2033.457, 5894.616, 5346.409, 4782.019, 4518.137, 5409.648, 4593.521, 4778.690, 4833.054, 4…
$ r_eff    <dbl> 0.6420657, 0.7803870, 0.5732927, 1.4746762, 1.3370490, 1.1976025, 1.1333685, 1.3600917, 1.1618036, 1.1948692, 1…

We formatted the output for convenience. Notice there are 822 rows–one for each case in the data. Almost like a computational byproduct, brms returned pareto_k and n_eff values when we computed the LOO estimates for the model. Our focus will be on the pareto_k column. Here are those pareto_k values in a plot.

loo(fit11.10)$diagnostics %>% 
  data.frame() %>% 
  # attach the `id` values
  bind_cols(sex_pp) %>% 
  
  ggplot(aes(x = id, y = pareto_k)) +
  geom_point(alpha = 3/4) + 
  geom_text(data = . %>% filter(pareto_k > .2),
            aes(x = id + 2, label = id),
            size = 3, hjust = 0) +
  theme(panel.grid = element_blank())

To learn the technical details about pareto_k, check out Vehtari, Gelman, and Gabry’s (2017) Practical Bayesian model evaluation using leave-one-out cross-validation and WAIC or Vehtari, Simpson, Gelman, Yao, and Gabry’s (2021) Pareto smoothed importance sampling. In short, we can use pareto_k values to flag cases that were overly-influential on the model in a way that’s a little like Singer and Willett’s deviance residuals. As pointed out in the loo reference manual (Gabry, 2020), the makers of the loo package warn against pareto_k values when they get much larger than \(0.5\). We should be a little worried by values that exceed the \(0.7\) threshold and it’s very likely a problem when they get larger than \(1\). In this case, they’re all below \(0.4\) and all is good.

To learn more about pareto_k values and what the loo package can do for you, check out Vehtari and Gabry’s (2020) vignette, Using the loo package.

Session info

sessionInfo()
R version 4.5.1 (2025-06-13)
Platform: aarch64-apple-darwin20
Running under: macOS Ventura 13.4

Matrix products: default
BLAS:   /Library/Frameworks/R.framework/Versions/4.5-arm64/Resources/lib/libRblas.0.dylib 
LAPACK: /Library/Frameworks/R.framework/Versions/4.5-arm64/Resources/lib/libRlapack.dylib;  LAPACK version 3.12.1

locale:
[1] en_US.UTF-8/en_US.UTF-8/en_US.UTF-8/C/en_US.UTF-8/en_US.UTF-8

time zone: America/Chicago
tzcode source: internal

attached base packages:
[1] stats     graphics  grDevices utils     datasets  methods   base     

other attached packages:
 [1] tidybayes_3.0.7 patchwork_1.3.2 brms_2.23.0     Rcpp_1.1.0      lubridate_1.9.4 forcats_1.0.1   stringr_1.6.0  
 [8] dplyr_1.1.4     purrr_1.2.1     readr_2.1.5     tidyr_1.3.2     tibble_3.3.1    ggplot2_4.0.1   tidyverse_2.0.0

loaded via a namespace (and not attached):
 [1] svUnit_1.0.8            tidyselect_1.2.1        viridisLite_0.4.2       farver_2.1.2            loo_2.9.0.9000         
 [6] S7_0.2.1                fastmap_1.2.0           TH.data_1.1-4           tensorA_0.36.2.1        digest_0.6.39          
[11] estimability_1.5.1      timechange_0.3.0        lifecycle_1.0.5         StanHeaders_2.36.0.9000 survival_3.8-3         
[16] magrittr_2.0.4          posterior_1.6.1.9000    compiler_4.5.1          rlang_1.1.7             tools_4.5.1            
[21] utf8_1.2.6              knitr_1.51              labeling_0.4.3          bridgesampling_1.2-1    htmlwidgets_1.6.4      
[26] bit_4.6.0               pkgbuild_1.4.8          curl_7.0.0              plyr_1.8.9              RColorBrewer_1.1-3     
[31] multcomp_1.4-29         abind_1.4-8             withr_3.0.2             grid_4.5.1              stats4_4.5.1           
[36] xtable_1.8-4            inline_0.3.21           emmeans_1.11.2-8        scales_1.4.0            MASS_7.3-65            
[41] cli_3.6.5               mvtnorm_1.3-3           rmarkdown_2.30          crayon_1.5.3            generics_0.1.4         
[46] RcppParallel_5.1.11-1   rstudioapi_0.17.1       reshape2_1.4.5          tzdb_0.5.0              rstan_2.36.0.9000      
[51] splines_4.5.1           bayesplot_1.15.0.9000   parallel_4.5.1          matrixStats_1.5.0       vctrs_0.7.0            
[56] V8_8.0.1                Matrix_1.7-3            sandwich_3.1-1          jsonlite_2.0.0          arrayhelpers_1.1-0     
[61] hms_1.1.4               bit64_4.6.0-1           ggdist_3.3.3            glue_1.8.0              codetools_0.2-20       
[66] distributional_0.5.0    stringi_1.8.7           gtable_0.3.6            QuickJSR_1.8.1          pillar_1.11.1          
[71] htmltools_0.5.9         Brobdingnag_1.2-9       R6_2.6.1                vroom_1.6.6             evaluate_1.0.5         
[76] lattice_0.22-7          backports_1.5.0         rstantools_2.5.0.9000   coda_0.19-4.1           gridExtra_2.3          
[81] nlme_3.1-168            checkmate_2.3.3         xfun_0.55               zoo_1.8-14              pkgconfig_2.0.3        

Comments